Ответы
Ответ дал:
0
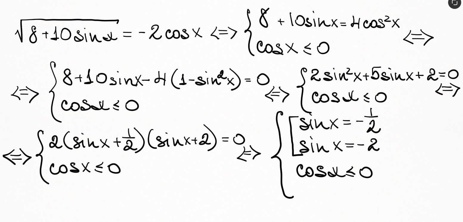
Решение во вложении.
Приложения:

Ответ дал:
0
Одна из серий решения лишняя, так как квадратный корень не может равняться отрицательному числу.
Ответ дал:
0
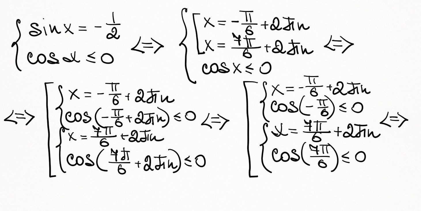
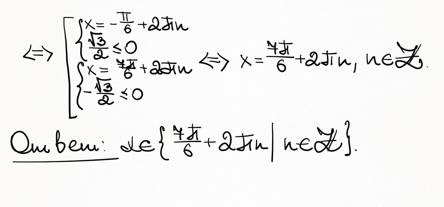
Далее идёт выборка корней в соответствии с тригонометрической окружностью при cos(x)<0
Ответ дал:
0
Но во вложении этой выборки нет)
Ответ дал:
0
Ответ с решением во вложениях.
Приложения:



Вас заинтересует
2 года назад
2 года назад
3 года назад
8 лет назад
9 лет назад