• Предмет: Алгебра
  • Автор: Paveldodonov2004
  • Вопрос задан 8 лет назад

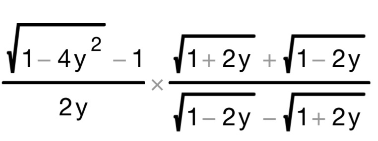
Упростит выражение, если y>0

Приложения:

Ответы

Ответ дал: SmEgDm
0

frac{sqrt{1-4y^2}-1}{2y}*frac{sqrt{1+2y}+sqrt{1-2y}}{sqrt{1-2y}-sqrt{1+2y}}=frac{sqrt{1-4y^2}-1}{2y}*frac{(sqrt{1+2y}+sqrt{1-2y})^2}{(sqrt{1-2y}-sqrt{1+2y})(sqrt{1-2y}+sqrt{1+2y})}=\=frac{sqrt{1-4y^2}-1}{2y}*frac{1+2y+2sqrt{1+2y}sqrt{1-2y}+1-2y}{1-2y-1-2y}=frac{sqrt{1-4y^2}-1}{2y}*frac{2+2sqrt{1+2y}sqrt{1-2y}}{-4y}=\=frac{sqrt{1-4y^2}-1}{2y}*frac{sqrt{1-4y^2}+1}{-2y}=frac{1-4y^2-1}{-4y^2}=frac{-4y^2}{-4y^2}=1

Вас заинтересует