• Предмет: Математика
  • Автор: Aeumi13
  • Вопрос задан 8 лет назад

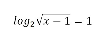
Решить логарифмическое уравнение

Приложения:

Ответы

Ответ дал: wqwwqwqvhjv
0

Ответ:

х=5

Пошаговое объяснение:

√х-1 =2¹

√х-1 =2

х-1=4

х=4+1

х=5

Проверка

log₂ (√5-1)=1

1=1

Вас заинтересует