• Предмет: Геометрия
  • Автор: polinasevcenko0937
  • Вопрос задан 8 лет назад

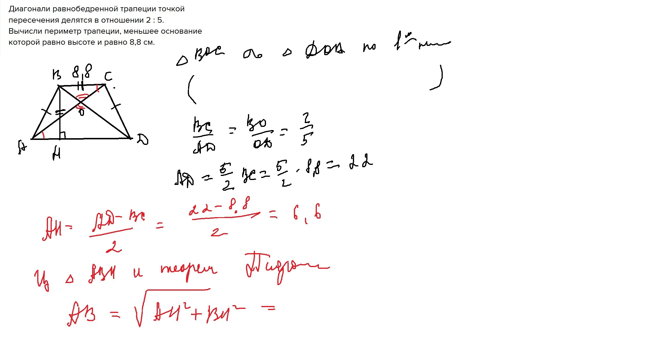
Диагонали равнобедренной трапеции точкой пересечения делятся в отношении 2 : 5.
Вычисли периметр трапеции, меньшее основание которой равно высоте и равно 8,8 см.

Ответ округли до десятых:

Ответы

Ответ дал: vikll
0

Диагонали равнобедренной трапеции точкой пересечения делятся в отношении 2 : 5.

Приложения:
Вас заинтересует