Ответы
Ответ дал:
0
Вот, лови фотографию с решением)
Приложения:
Ответ дал:
0
Спасибочки
Ответ дал:
0
Пожалуйста)
Ответ дал:
0
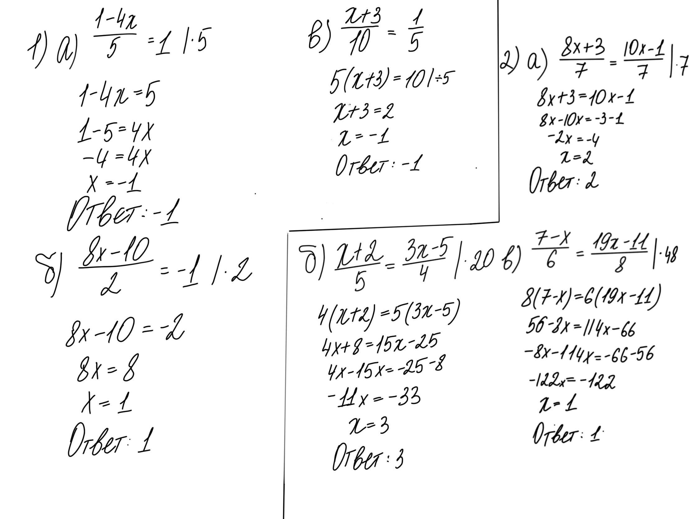
1. a)
1-4x =5
-4x=5-1
-4x=4
x=-1
Б)
2(4x-5)/2 = -1
4x-5=-1
4x=-1+5
4x=4
x=1
B)
5(x+3)=10
x+3=2
x=2-3
x=-1
2.A)
8x+3=10x-1
8x-10x=-1-3
-2x=-4
x=2
Б)
4(x+2)=5(3x-5)
4x+8=15x-25
4x-15x=-25-8
-11x=-33
x=3
B)
8(7-x)=6(19x-11)
56-8x=114x-66
-8x-14x=-66-56
-122x=-122
x=1
1-4x =5
-4x=5-1
-4x=4
x=-1
Б)
2(4x-5)/2 = -1
4x-5=-1
4x=-1+5
4x=4
x=1
B)
5(x+3)=10
x+3=2
x=2-3
x=-1
2.A)
8x+3=10x-1
8x-10x=-1-3
-2x=-4
x=2
Б)
4(x+2)=5(3x-5)
4x+8=15x-25
4x-15x=-25-8
-11x=-33
x=3
B)
8(7-x)=6(19x-11)
56-8x=114x-66
-8x-14x=-66-56
-122x=-122
x=1
Приложения:
Вас заинтересует
2 года назад
2 года назад
3 года назад
3 года назад
9 лет назад
9 лет назад
10 лет назад