Ответы
Ответ дал:
0
8 задание ответ 2
В 7 не видно до конца
Приложения:

Ответ дал:
0
а какой здесь номер?
Ответ дал:
0
а понял спасибо
Ответ дал:
0
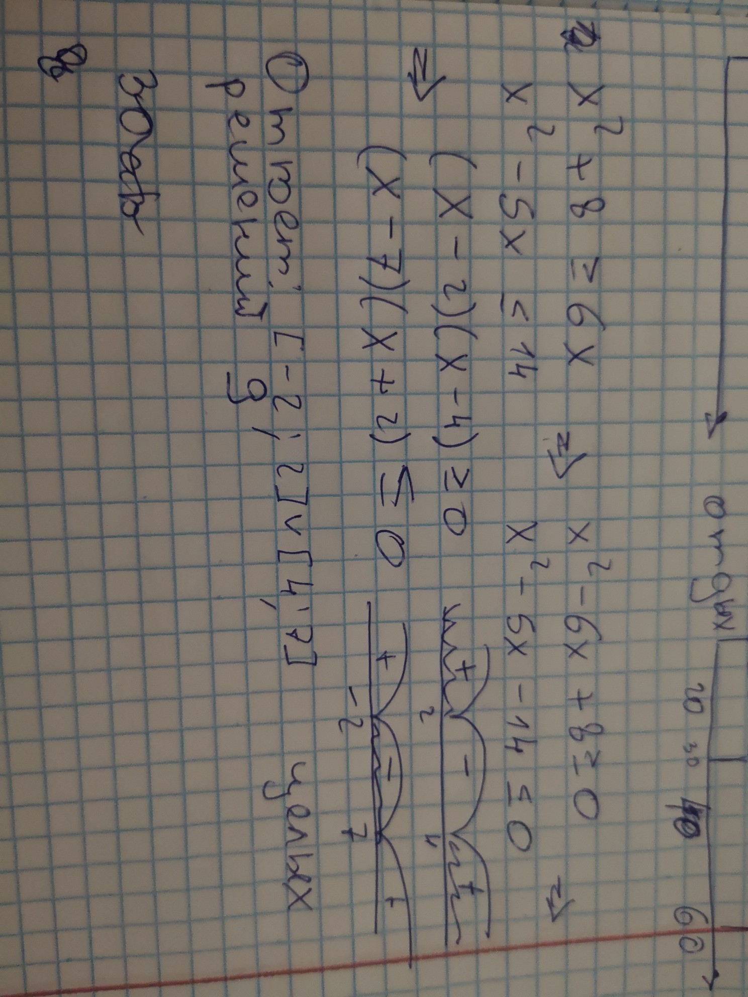
В 8 задание ответ получается 2
Приложения:

Ответ дал:
0
хочетось бы решение ну на халяву
Вас заинтересует
2 года назад
3 года назад
8 лет назад
8 лет назад
9 лет назад