• Предмет: Математика
  • Автор: nikchistov2014
  • Вопрос задан 8 лет назад

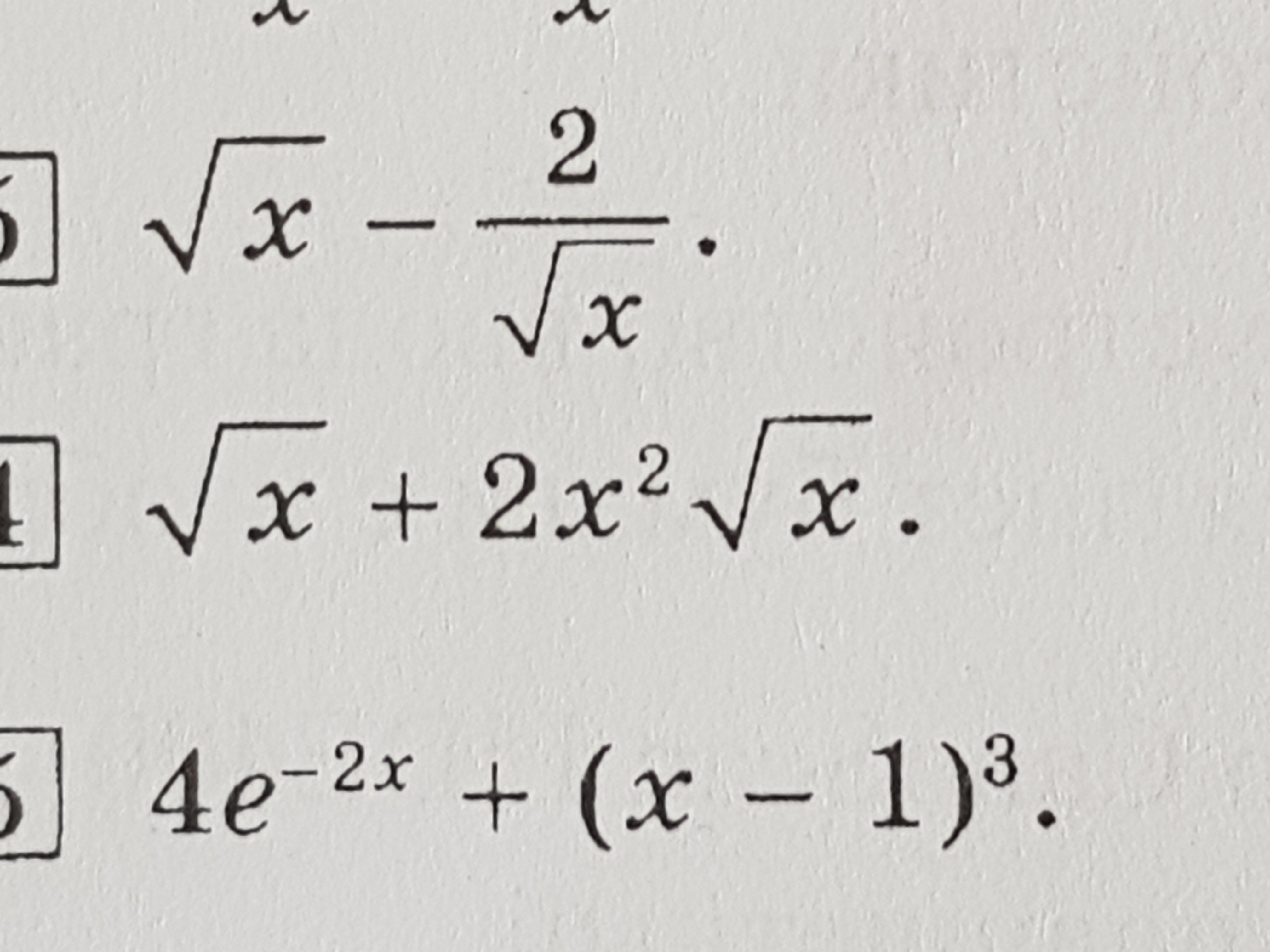
Нужна помощь с нахождением первообразных, срочно!

Приложения:

Ответы

Ответ дал: natalyabryukhova
0

Ответ:

В конце +С

Пошаговое объяснение:

Приложения:
Ответ дал: IrkaShevko
0

Ответ:

1) F(x) = dfrac{2sqrt{x^3} }{3} -4sqrt{x} +C\\2)F(x)=dfrac{2sqrt{x^3} }{3}+dfrac{4sqrt{x^7} }{7} +C\\3)F(x)=-2e^{-2x}+dfrac{1}{4} (x-1)^4+C

Пошаговое объяснение:

Приложения:
Вас заинтересует