• Предмет: Алгебра
  • Автор: Вывозим
  • Вопрос задан 8 лет назад

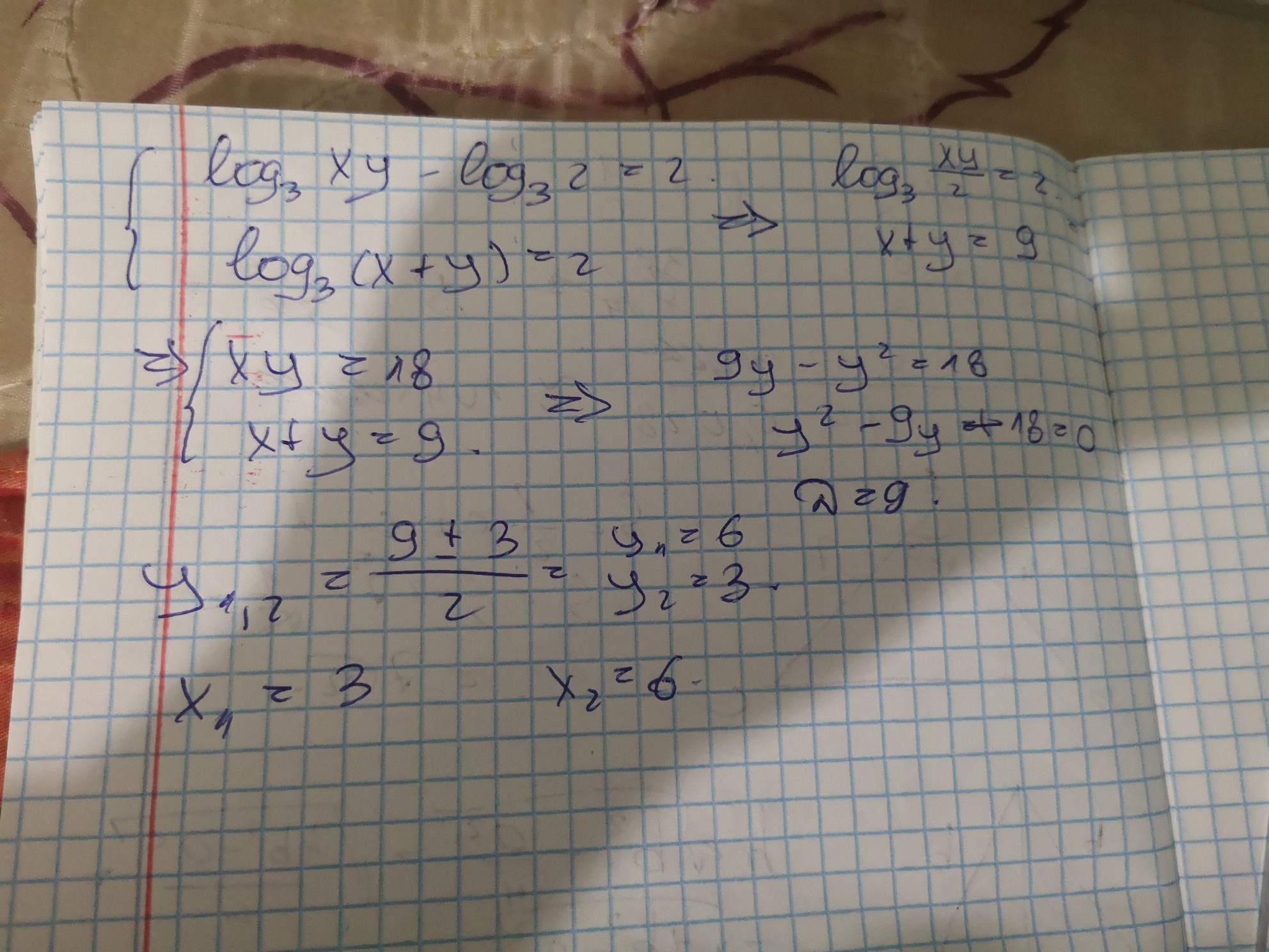
Нужна хелпа с логарифмами,даю 75 баллов

Приложения:

Ответы

Ответ дал: Bfalse
0

Ответами являются 6;3

3;6

Приложения:
Ответ дал: nastayganich16
0

log 3 от xy =2 log 2 и ето перемножай а позже подели на 2 и log (x+y)=2 потом верхние чысла потставляй под x и y и равно должно получится

Приложения:
Вас заинтересует