• Предмет: Алгебра
  • Автор: Yandere1
  • Вопрос задан 8 лет назад

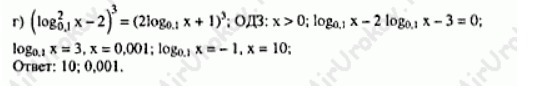
Логарифмическое уравнение


Не понимаю, почему число -1 вошло в ОДЗ,если мы делаем замену:log_{0,1} x=t, где t>0?

(по основанию 0,1)

Приложения:

Ответы

Ответ дал: Evgenia4836
0

t не обязательно больше нуля. по сути t это степень в которую мы возводим основание, то есть мы можем возвести и в степень -2 и в 0,5 и в -2/3

Ответ дал: Evgenia4836
0
Потому что основные правила: loga(b) a>0, a не равно 0, b>0
Ответ дал: Evgenia4836
0
в данном случае x это b
Ответ дал: Yandere1
0
Но ведь Вы говорите, что t необязательно >0) Я думала, что x это t
Ответ дал: Evgenia4836
0
нет, t в данном случае это log0,1(x)
Ответ дал: Yandere1
0
хорошо,спасибо
Вас заинтересует