• Предмет: Алгебра
  • Автор: You149678
  • Вопрос задан 8 лет назад

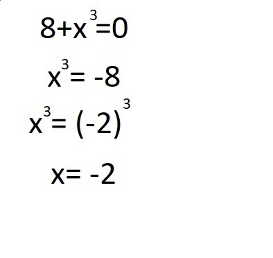
Сколько будет
Хелп
Пожалуйста

Приложения:

Ответы

Ответ дал: Bershka200
0

..........................

Приложения:
Вас заинтересует