Ответы
Ответ дал:
0
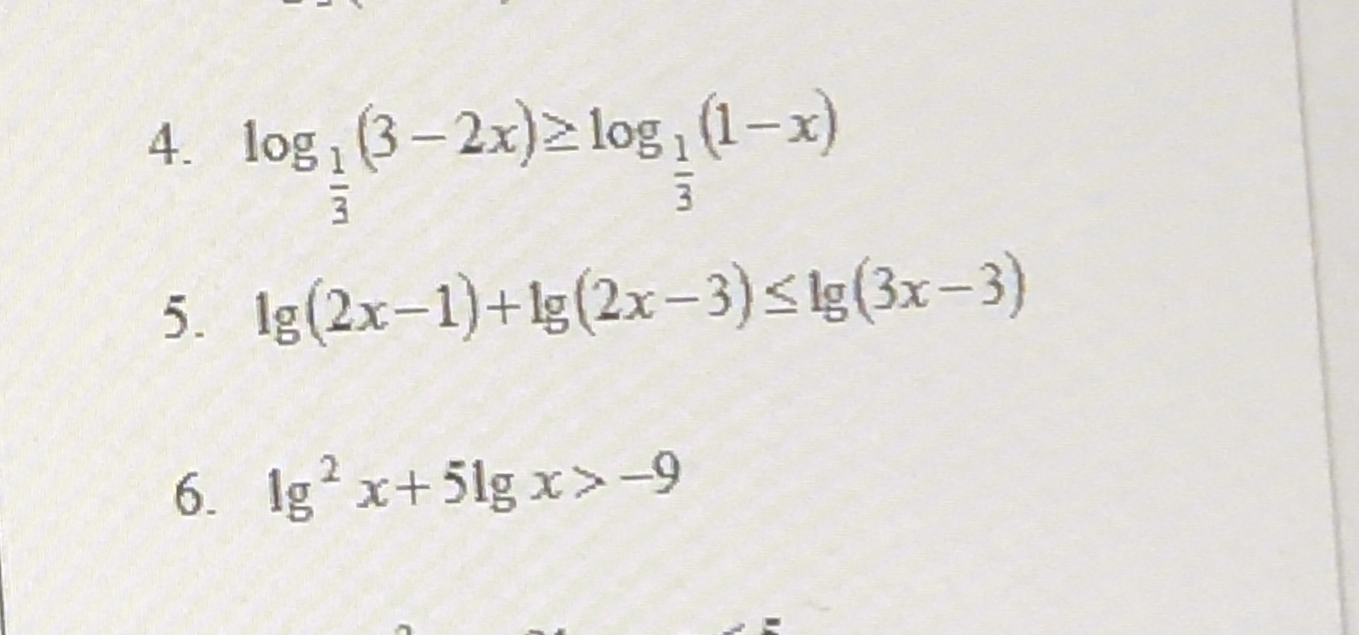
4.


Ответ: [2; +бесконечности)
5.
lg((2x-1)(2x-3))≤lg(3x-3)
lg(4x^2-6x-2x+3)≤lg(3x-3)
4x^2-6x-2x+3-3x+3≤0
4x^2-11x+6=0
D=121-4*4*6=121-96=25
x1=(11+5):8=16:8=2
x2=(11-5):8=6:8=3:4=0,75
рисуешь интервалы, ответ [0,75; 2]
6.
lg^2 x+5lgx>-9
пусть lg x=t
t^2+5t+9>0
t^2+5t+9=0
D<0
корней нет
Ответ: [2; +бесконечности)
5.
lg((2x-1)(2x-3))≤lg(3x-3)
lg(4x^2-6x-2x+3)≤lg(3x-3)
4x^2-6x-2x+3-3x+3≤0
4x^2-11x+6=0
D=121-4*4*6=121-96=25
x1=(11+5):8=16:8=2
x2=(11-5):8=6:8=3:4=0,75
рисуешь интервалы, ответ [0,75; 2]
6.
lg^2 x+5lgx>-9
пусть lg x=t
t^2+5t+9>0
t^2+5t+9=0
D<0
корней нет
Ответ дал:
0
!!!!!!!!!!!!!!!!!!!!!!!!!!
Приложения:
Вас заинтересует
2 года назад
2 года назад
3 года назад
3 года назад
9 лет назад
9 лет назад
10 лет назад