Ответы
Ответ дал:
0
Решение на фото.........
Приложения:
Ответ дал:
0
Решение на фото.
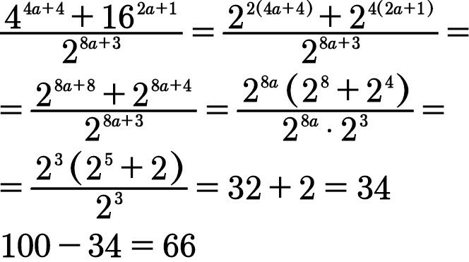
1. Используя свойства степеней упростим данное число.
2. После чего найдем разницу между 100 и полученным числом.
1. Используя свойства степеней упростим данное число.
2. После чего найдем разницу между 100 и полученным числом.
Приложения:
Вас заинтересует
2 года назад
2 года назад
3 года назад
3 года назад
9 лет назад
9 лет назад