• Предмет: Математика
  • Автор: Unicorn2415
  • Вопрос задан 8 лет назад

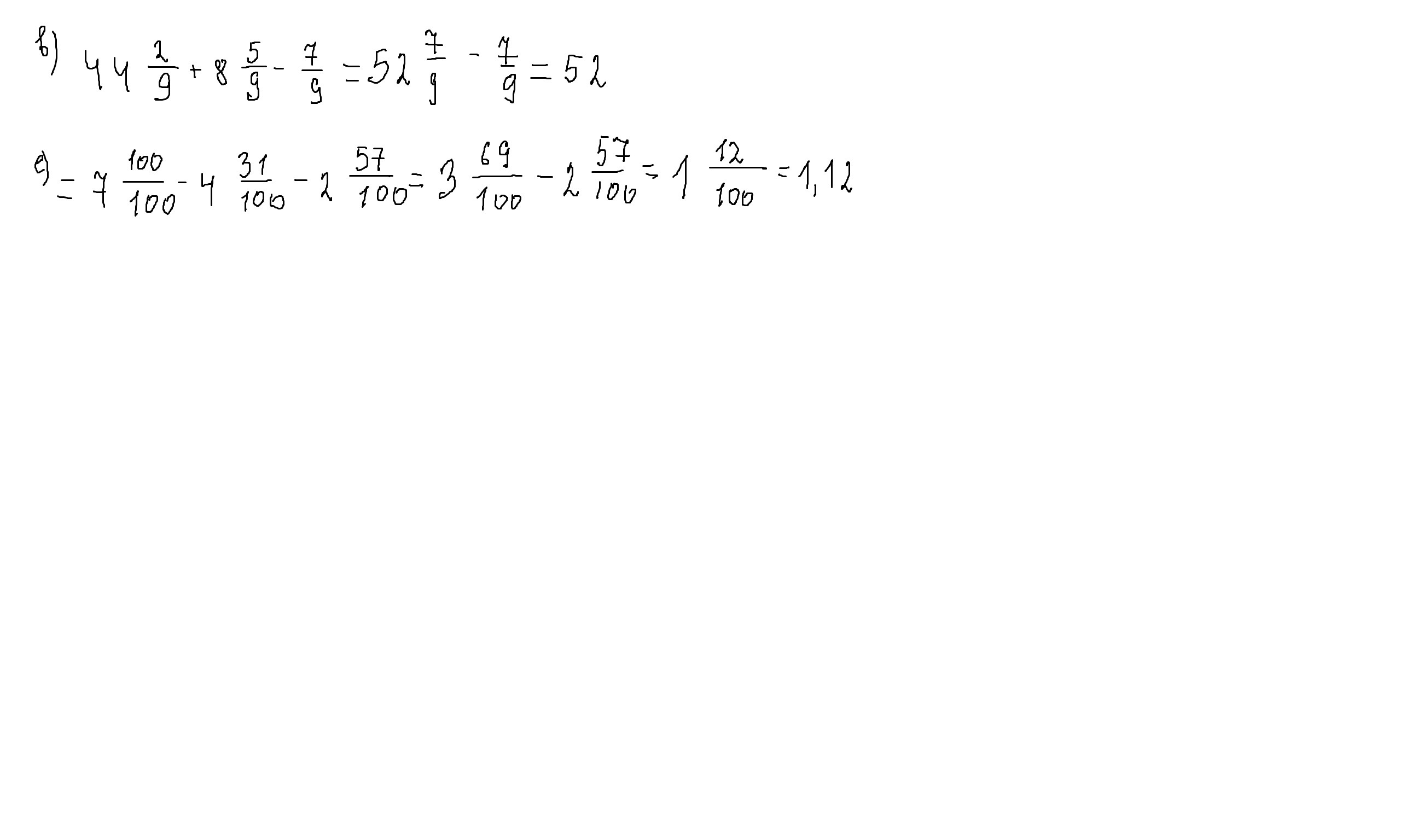
Номер 1.205, в,е. Пожалуйста

Приложения:

Ответы

Ответ дал: parus77
0

Ответ:

Пошаговое объяснение:решение смотри внизу

Приложения:
Вас заинтересует