• Предмет: Математика
  • Автор: zarina6169
  • Вопрос задан 8 лет назад

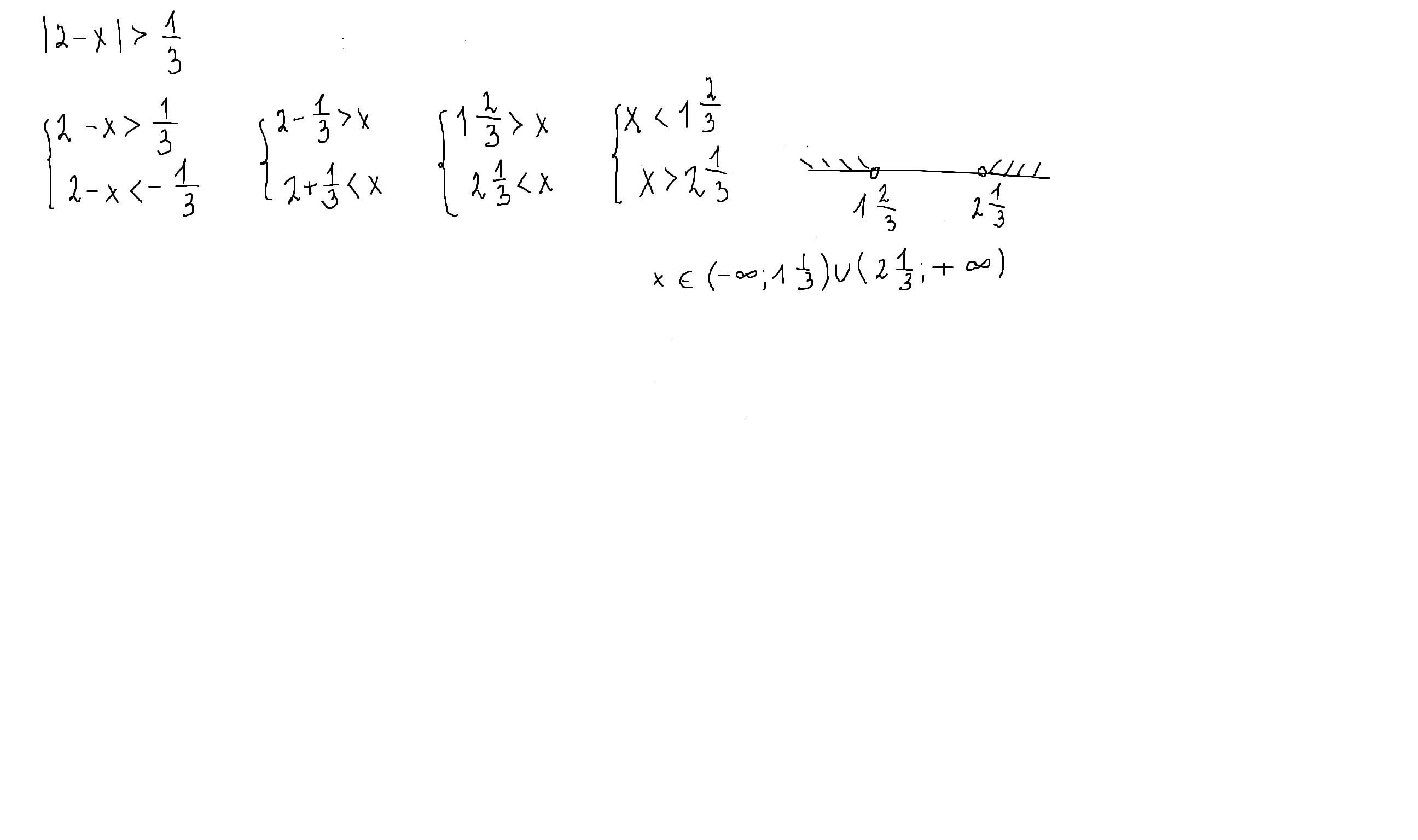
|2-х|>1/3 решите неравенства​ Пожалуйста решите

Ответы

Ответ дал: parus77
0

Ответ:

решение смотри внизу

Приложения:
Ответ дал: hote
0
jib,rf dj dnjhjv ythfdtyncdt
Ответ дал: hote
0
ошибка во втором неравентсве
Ответ дал: hote
0
х был больше- стал меньше
Ответ дал: parus77
0
спасибо.
Вас заинтересует