• Предмет: Математика
  • Автор: muayay
  • Вопрос задан 8 лет назад

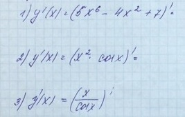
Найти производную. С решениями и формулами

Приложения:

Ответы

Ответ дал: natalyabryukhova
0

Ответ:

Пошаговое объяснение:

Приложения:
Ответ дал: Bena20191
0

Ответ:

Пошаговое объяснение:

Приложения:
Вас заинтересует