• Предмет: Математика
  • Автор: SashaRogozin2006
  • Вопрос задан 8 лет назад

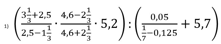
помогите решить плиз

Приложения:

Ответы

Ответ дал: maxa60
0

ну как то так ,надеюсь помогла

Приложения:
Вас заинтересует