Помогите пожалуйста решить уравнения (в школе учитель не объяснял как такие решают). Заранее спасибо.
Приложения:

Ответы
Ответ дал:
0
Ответ:
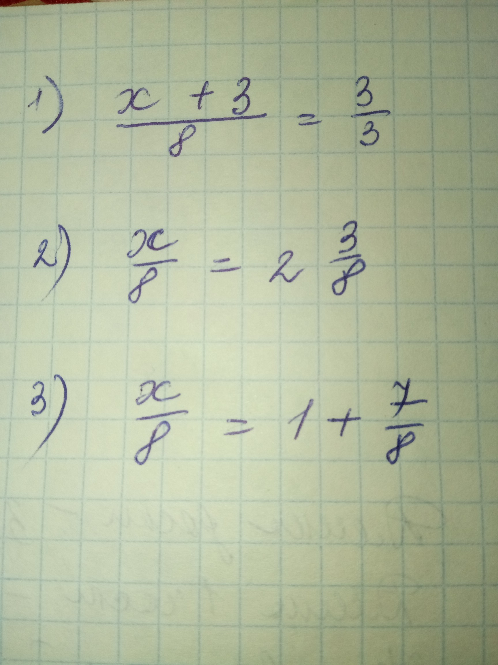
1)х=5
2)х=19
3)х=15
1) 3/3=1.
----------------
Пошаговое решение.
(х+3)/8=1
х+3=1*8=8
х=8-3
х=5
---------------
2)х/8=2 3/8
х/8= 2*8+3
х=19
---------------
3)х/8=1*8+7
х=15
--------------------
P.S надеюсь это будет понятно на уровне 5 класса
Ответ дал:
0
пожалуйста, мне нужно именно решение, а не только ответ
Ответ дал:
0
ок
Ответ дал:
0
вы можете написать чисто решение (на уровне 5 класса), когда я сдам тетрадь на проверку, учитель не сможет услышать моих объяснений, ему нужно условие+решение=ответ
Ответ дал:
0
спасибо огромное!!!
Ответ дал:
0
если несложно, отметишь, как лучшее решение
Вас заинтересует
2 года назад
2 года назад
3 года назад
8 лет назад
9 лет назад