ХИМИЯ (8 КЛАСС) ПОЖАЙЛУСТА, СРОЧНО!
ТЕМЫ: КОЛИЧЕСТВО ВЕЩЕСТВА, МОЛЯРНЫЙ ОБЪЕМ , МОЛЯРНАЯ МАССА!
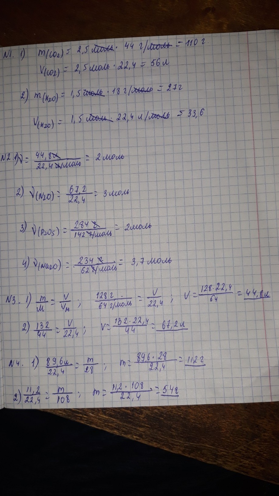
1. Определить массу и объем:
1). 2,5 моль CO2
2). 1,5 моль H2O
2. Определить количество вещества:
1). 44,8 л SO2
2). 67,2 л N2O
3). 284 г P2O5
4). 234 г Na2О
3. Определить объем:
1). 128 г SO2
2). 132 г N2O
4. Определить массу :
1). 89,6 л СО2
2). 11,2 л N2О5
Ответы
Ответ дал:
0
..........................
Приложения:

Ответ дал:
0
Спасибо :3
Вас заинтересует
2 года назад
2 года назад
3 года назад
8 лет назад