• Предмет: Алгебра
  • Автор: sevinchka2905
  • Вопрос задан 8 лет назад

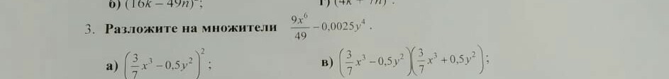
помогите пжж по алгеше сори что так поздно​

Приложения:

Ответы

Ответ дал: alesyaperova
0

Ответ: в

Но не уверена, вроде так

Вас заинтересует