• Предмет: Математика
  • Автор: semen09112000oxjeki
  • Вопрос задан 8 лет назад

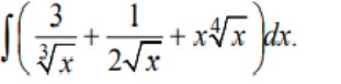
Неопределённый интеграл как решить не могу понять

Приложения:

Ответы

Ответ дал: Irremediable
0

Чтобы понять как такое решать, нужно знать свойства корня.

frac{3}{sqrt[3]{x} } Мы можем представить себе как 3*x^{(-frac{1}{3}) }

frac{1}{2sqrt{x} } Мы можем представить себе как: frac{1}{2}*frac{1}{sqrt{x} } =frac{1}{2}*x^{(-frac{1}{2} )}

В третьем слогаемом мы x внесём под корень: xsqrt[4]{x} = sqrt[4]{x^{5} } =x^{frac{5}{4} }

Так как у нас суммируется, можем проинтегрировать каждое слогаемое отдельно: intlimits {(frac{3}{sqrt[3]{x} } +frac{1}{2sqrt{x} }+xsqrt[4]{x})} , dx =\=frac{3*x^{frac{2}{3}} }{frac{2}{3} } } + frac{ frac{1}{2}*x^{frac{1}{2} } }{frac{1}{2} } +frac{x^{frac{9}{4} } }{frac{9}{4} }

Альтернативный вид: frac{9*sqrt[3]{x^{2} } }{2}+sqrt{x}+frac{4*x^{2}sqrt[4]{x} }{9}

Вас заинтересует