Запишите приведены формулы по правилам языка Object Pascal :
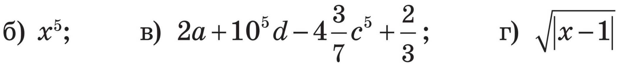
б)
в)
г)​

Приложения:

Ответы

Ответ дал: anioin
0

1)x*x*x*x*x или можно sqr(x)*sqr(x)*x

2)2*a+10*10*10*10*10*d-4*3/7*c*c*c*c*c+2/3

3)sqrt(abs(x-1))

Вас заинтересует