• Предмет: Алгебра
  • Автор: киса663
  • Вопрос задан 8 лет назад

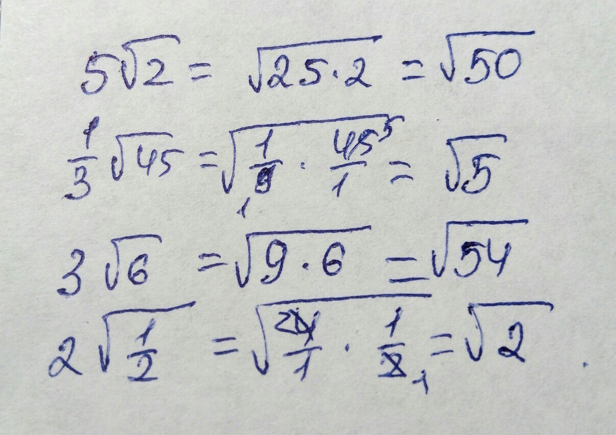
Внесите множитель под знак корня:
1)5√2;
2)1 /3√45;
3) 3√6 ;
4)2√1/2 .

Ответы

Ответ дал: talibekyan
0

1) √50

2) √5

3) √54

4) √2

Ответ дал: nazar123647
0

Відповіді та розв'язання на фото

Приложения:
Вас заинтересует