• Предмет: Алгебра
  • Автор: PapaRoach
  • Вопрос задан 8 лет назад

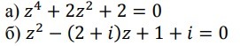
Найти все корни уравнения и изобразить их на комплексной плоскости.

Приложения:

Ответы

Ответ дал: vadim2002bon
0

a) нехай z2 =t То z4 =t2

t2+2t+2=0

D=4-4*1*2 = 4-8 = -4 нету кореней

Вас заинтересует