Ответы
Ответ дал:
0
Ответ:
Пошаговое объяснение:
Приложения:
Ответ дал:
0
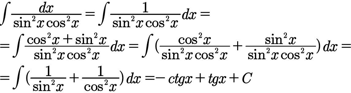
Решение на фотографии.
1. В числителе применили основное тригонометрическое тождество.
2. Произвели почленное деление
3. и получили табличные интегралы.
1. В числителе применили основное тригонометрическое тождество.
2. Произвели почленное деление
3. и получили табличные интегралы.
Приложения:
Вас заинтересует
2 года назад
3 года назад
3 года назад
9 лет назад
9 лет назад
10 лет назад
10 лет назад