• Предмет: Математика
  • Автор: саша2932
  • Вопрос задан 8 лет назад

ПЛИС плиссс решитеееее номер 693 задания а и б

Приложения:

Ответы

Ответ дал: YurkaAbushka
0

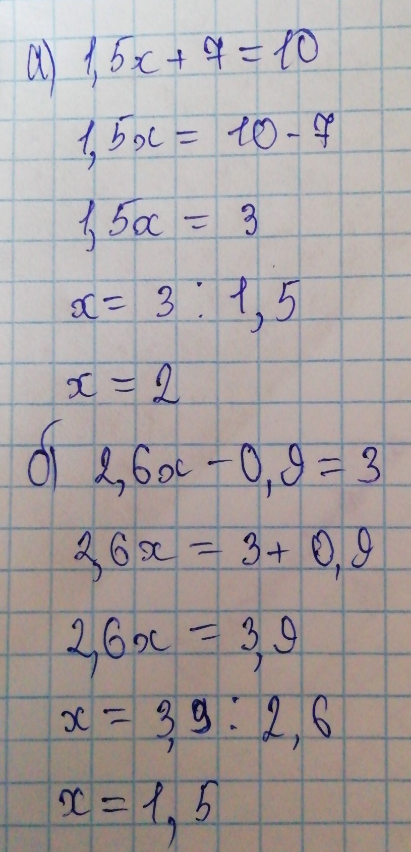
а)1,5x+7=10       б)2,6x-0,9=3

1,5x=10-7           2,6x=3+0,9

1,5x=3                2,6x=3,9

x=3/1,5               x=3,9/2,6

x=2                     x=1,5

Ответ: 2            Ответ: 1,5

Ответ дал: саша2932
0
Ребят 694 ПЛИС а и б полиссс срочняк
Ответ дал: YurkaAbushka
0
а)(x+2)+x=9
x+2+x=9
Ответ дал: YurkaAbushka
0
а)(x+2)+x=9
x+2+x=9
2x+2=9
2x=9-2
2x=7
x=3,5
Ответ: 3,5

б)x+(7+x)=11
x+7+x=11
2x=11-7
2x=4
x=2
Ответ: 2
Ответ дал: саша2932
0
Спасибо сел
Ответ дал: famouspeop
0

Вот. Как-то так.

1,5x=10-7

1,5x=3

X=3:1,5

X=2

2,6x=3+0,9

2,6x=3,9

X=3,9:2,6

X=1,5

Приложения:
Вас заинтересует