Номер 735 помогите пожалуйста под буквой б (образец как нужно сделать на втором фото)
Приложения:


Ответы
Ответ дал:
0
Ответ:
Пошаговое объяснение:
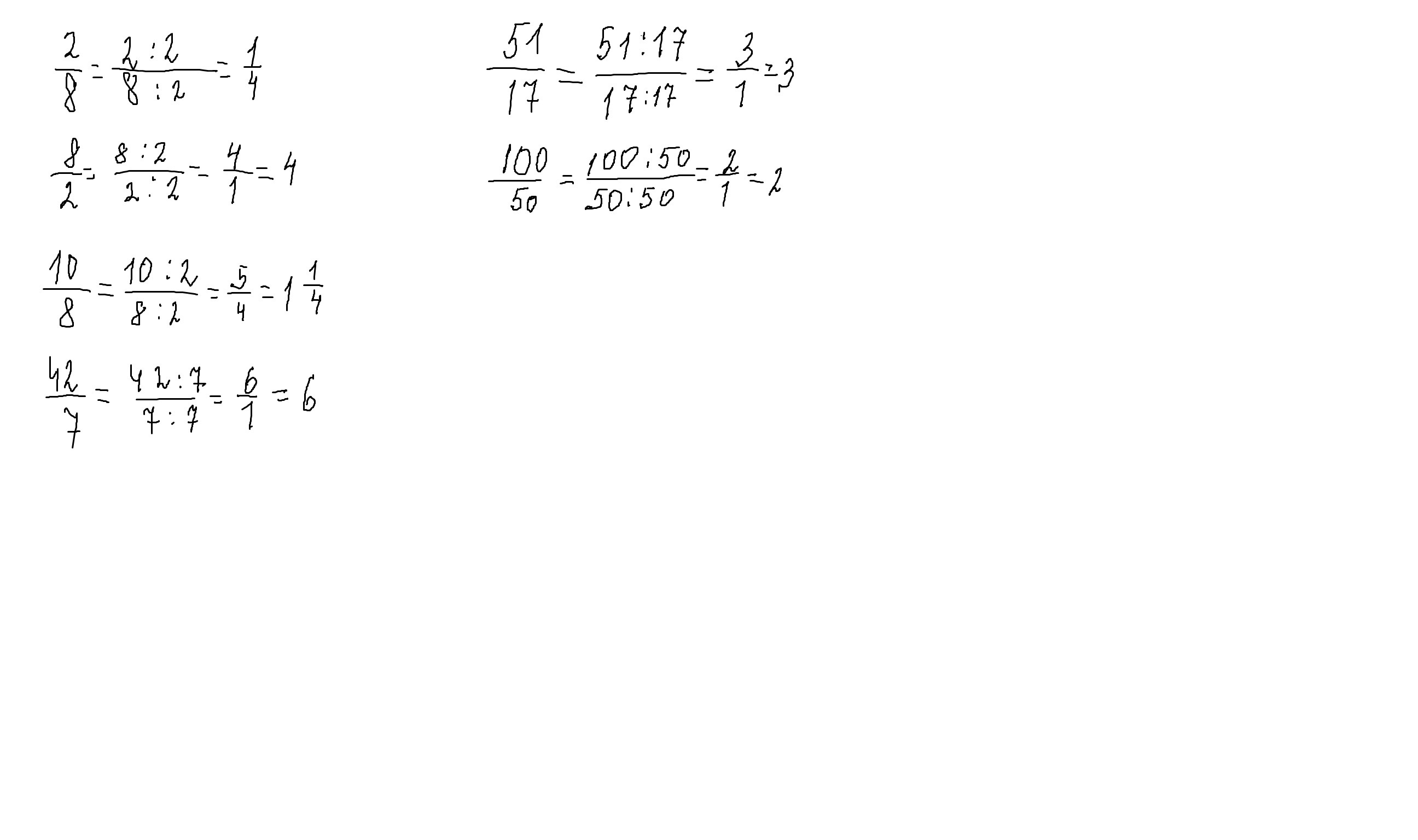
смотри решение внизу
Приложения:

Ответ дал:
0
Огромное вам спасибо!!!!
Ответ дал:
0
да не за что,это совсем не трудно.
Ответ дал:
0
Да меня просто в школе не было болел)
Ответ дал:
0
обращайся,если нужна будет помощь.Чем смогу-помогу.
Ответ дал:
0
Спасибо:)
Вас заинтересует
2 года назад
3 года назад
8 лет назад
8 лет назад
9 лет назад
9 лет назад