• Предмет: Алгебра
  • Автор: Gstdhc
  • Вопрос задан 8 лет назад

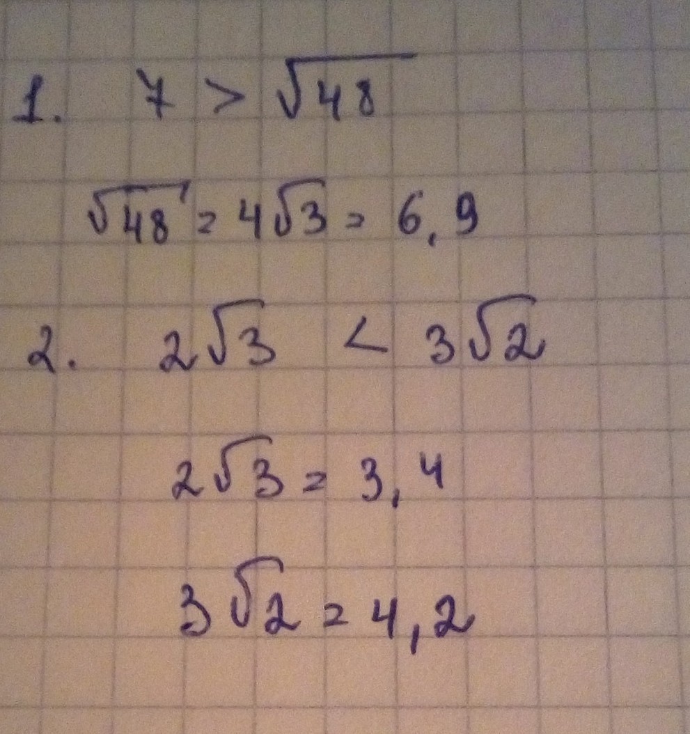
Сравнить: 7 и √48;2√3 и 3√2

Ответы

Ответ дал: nikitka1805
0

••••••••••••••••••••••

Приложения:
Ответ дал: Bronzor1
0

1) 7=sqrt{49} ; 7> sqrt{48}\2) 2sqrt{3}=sqrt{2^2*3}=sqrt{12}\ 3sqrt{2}=sqrt{3^2*2}=sqrt{18}\ 2sqrt{3}<3sqrt{2}

Приложения:
Вас заинтересует