• Предмет: Математика
  • Автор: Аноним
  • Вопрос задан 8 лет назад

срочно 50 балов



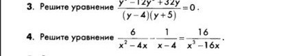
задание 4

Приложения:

Ответы

Ответ дал: Beside
0

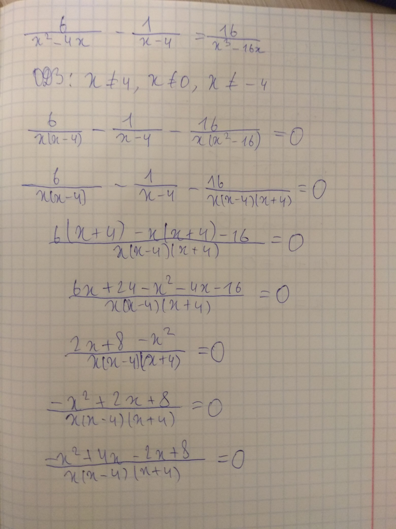
Решение на фото будут вопросы пишите

Приложения:
Ответ дал: Beside
0
что такое фотомэч? И что вообще за наезды, вместо "спасибо"?
Ответ дал: Beside
0
Есть разные способы решения, я решаю так, как мне удобно, чтобы было понятно.
Ответ дал: Аноним
0
даник я стобой согласна
Ответ дал: Аноним
0
и да кстати, говоришь что фотомэч и т.д ну раз так, то решай из фотомэча
Ответ дал: Аноним
0
я редко пользуюсь фотомэчом
Вас заинтересует