кто решит столбиком подпишусь . на первые два человека . кто решит столбик все три примера
Приложения:

Ответы
Ответ дал:
0
Ответ:
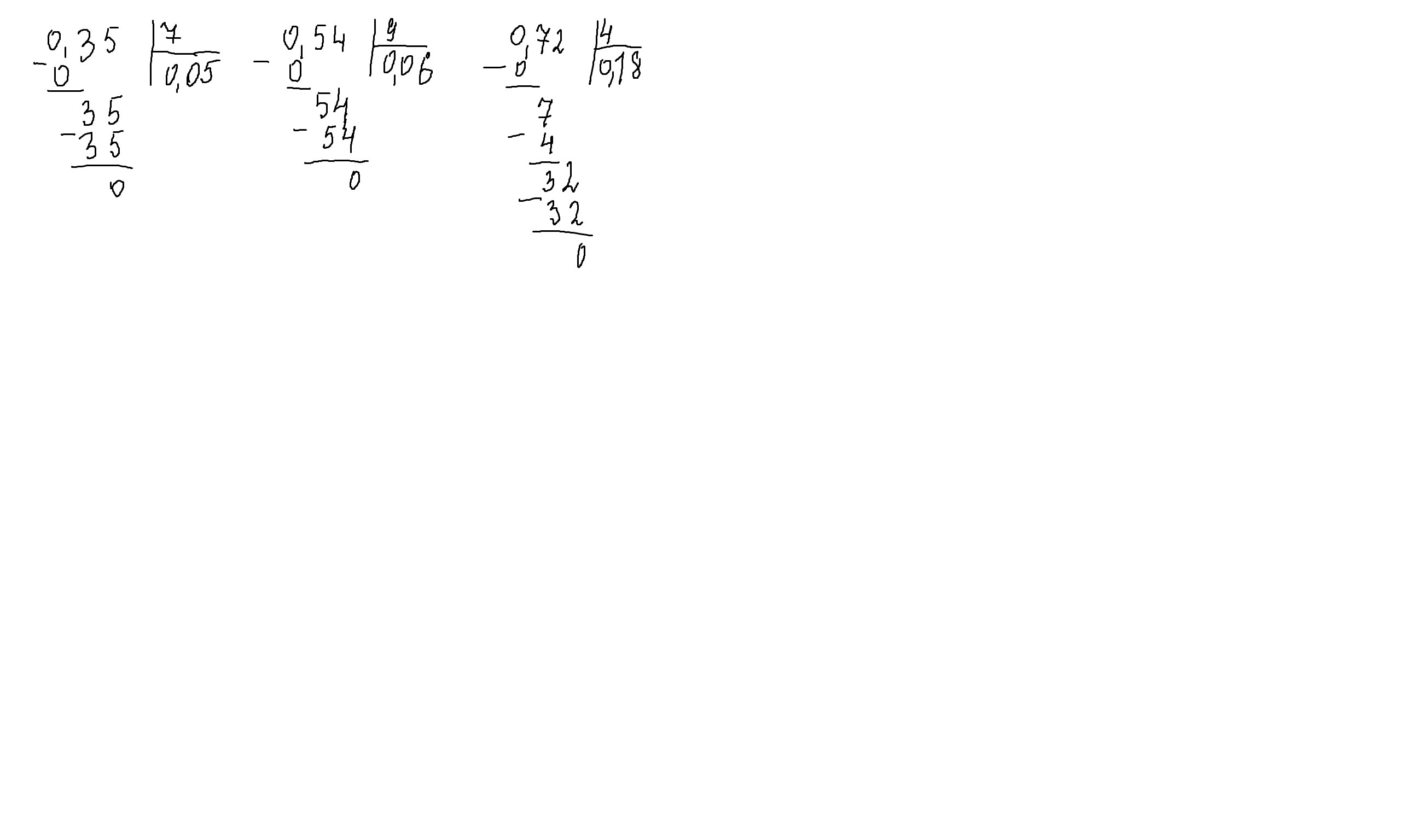
решение смотри внизу.
подписываться на меня не надо.
Приложения:

Ответ дал:
0
почему подписаватся не надо
Ответ дал:
0
?ну ладно не хотите как хотите
Ответ дал:
0
может твоя подписка нужна кому нибудь больше,чем мне.Я вопросов здесь не задаю.
Вас заинтересует
3 года назад
3 года назад
8 лет назад
9 лет назад