Ответы
Ответ дал:
0
Ответ: модуль это расстояние от точки начала отсчета до точки на прямой.поэтому модуль неотрицательное или равное 0 число.
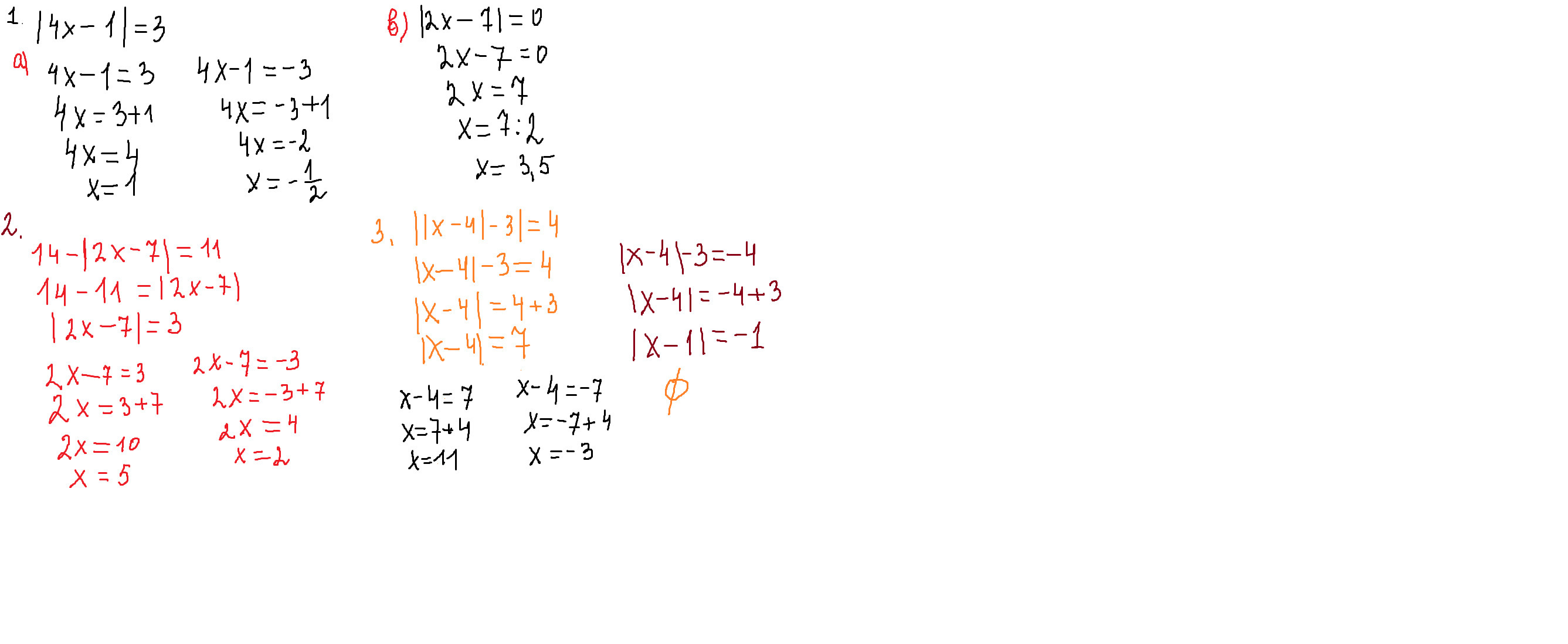
сначала убираем первый модуль, и приравниваем левую часть к положительному значению(здесь это число 4),и к отрицательному (к -4)
решаем уравнения,потом аналогично поступаем со вторым модулем.
я тебе скину еще несколько решенных примеров,посмотри.может поймешь лучше.
Приложения:


Ответ дал:
0
"...модуль всегда положительное число" - ошибочное утверждение.
Ответ дал:
0
Хорошо,он не может быть отрицательным,а только положительным или равным 0.Но для шестиклассника более понятно,что модуль положительное число.
Ответ дал:
0
Каждому важна истина. Вы невольно допустили оплошность в пояснительном тексте. Подправьте, пожалуйста, пояснения.
Ответ дал:
0
сейчас Валентина все исправит)))
Ответ дал:
0
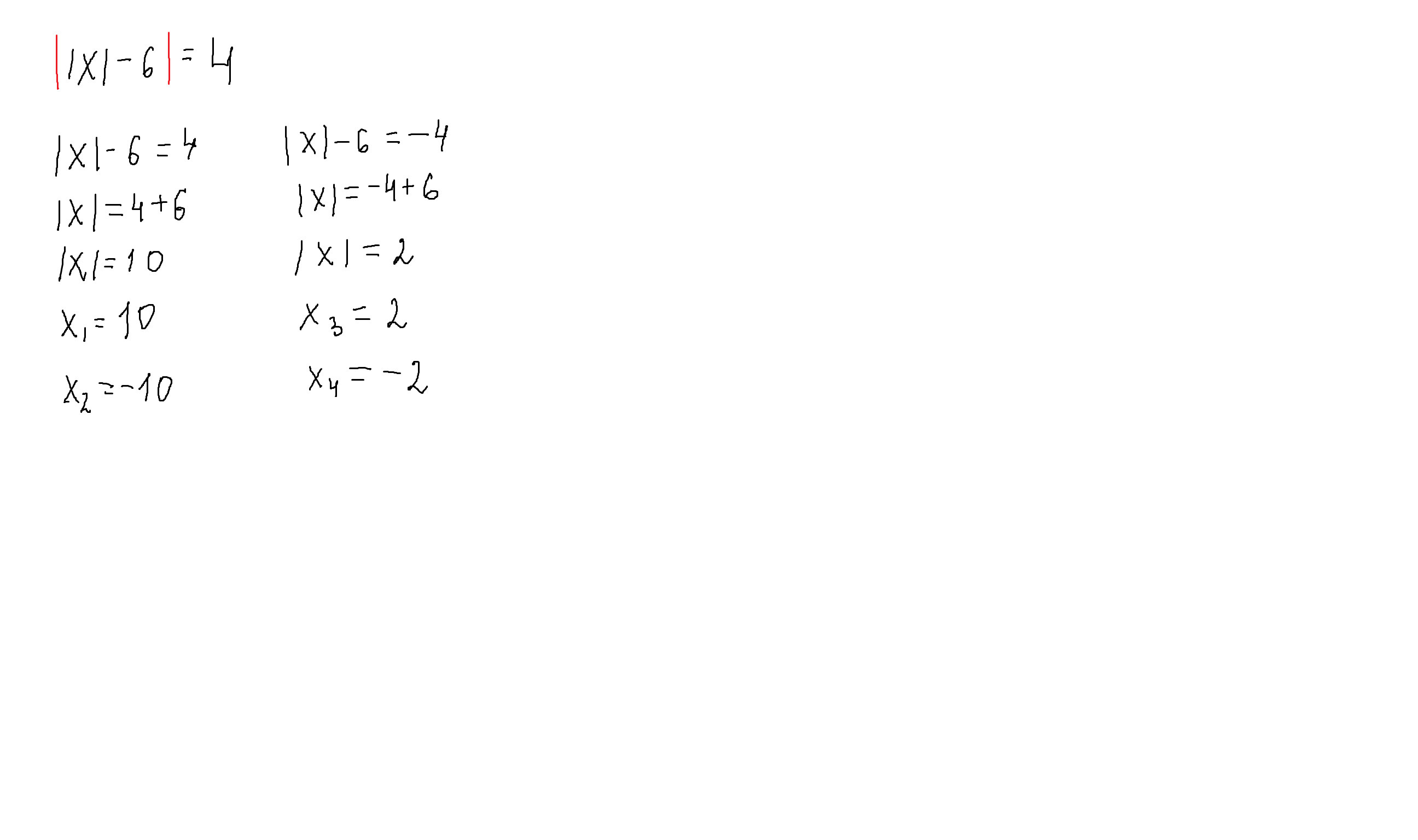
Ответ:
x1 = -2;
x2 = 2;
x3 = - 10;
x4 = 10 .
Пошаговое объяснение:
||x| - 6| = 4
Рассмотрим случаи:
1) |x| - 6<0
|x| - 6 = -4
|x| = 2
x1=-2; x2=2;
2) |x| - 6 > 0
|x| - 6 = 4
|x| = 10
x3 = - 10 ; x4 = 10
Приложения:


Вас заинтересует
2 года назад
2 года назад
3 года назад
3 года назад
8 лет назад
9 лет назад