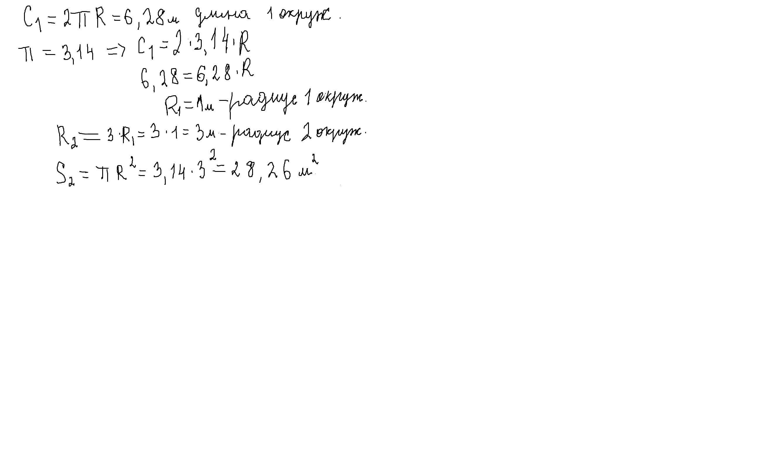
Длина первой окружности равна 6,28 м. Найдите площадь круга, ограниченного окружность, радиус который в 3 раза больше радиуса первой окружности. Число П округлите до сотых
Решите пожалуйста!
Ответы
Ответ дал:
0
Ответ:
Пошаговое объяснение: решение смотри внизу
Приложения:

Вас заинтересует
2 года назад
2 года назад
3 года назад
8 лет назад
9 лет назад
9 лет назад