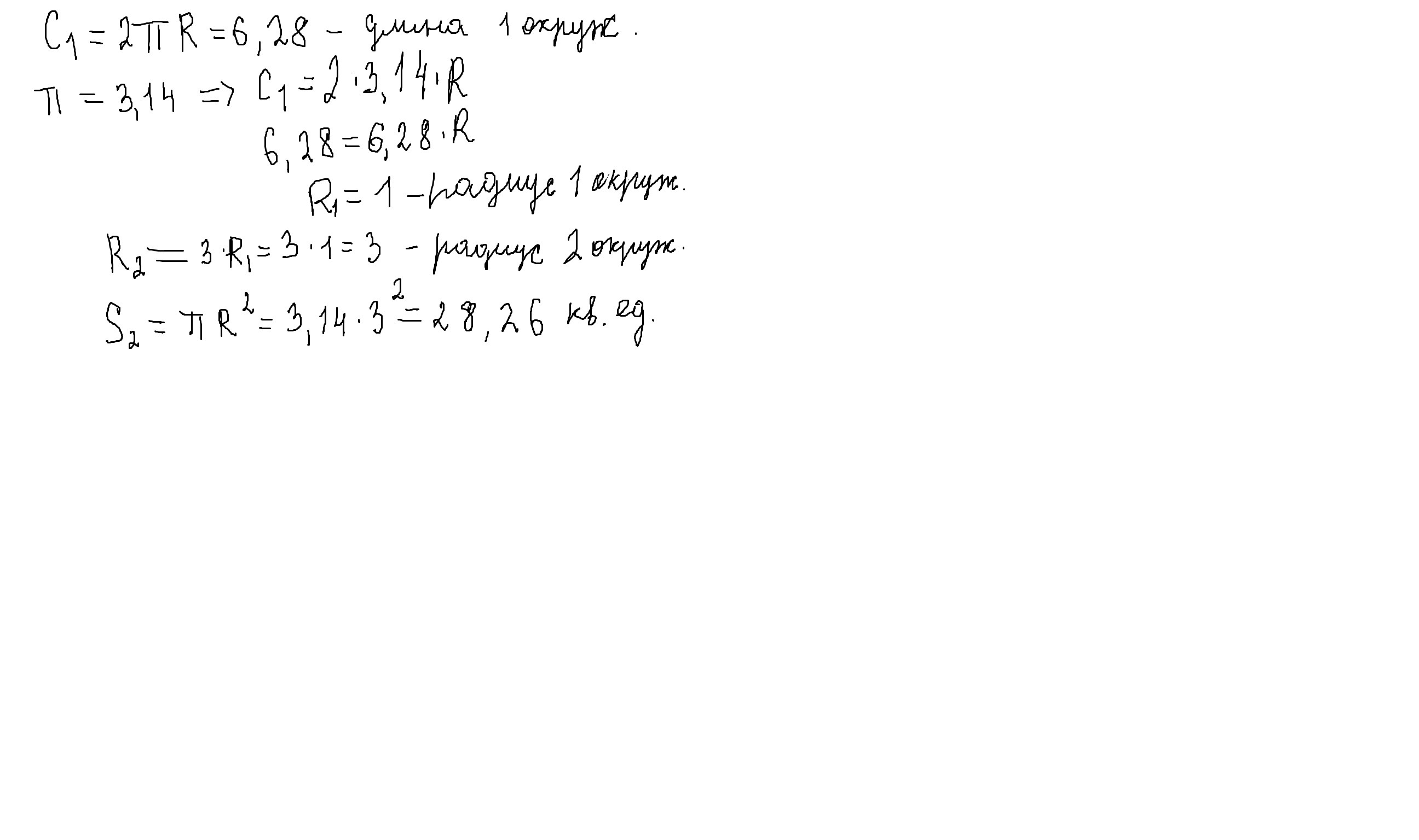
Длина первой окружности равна 6,28.Найдите площадь круга, ограниченного окружность, радиус которой в 3 раза больше радиуса первой окружности. Число П округлите до сотых
Ответы
Ответ дал:
0
Ответ:
:решение смотри внизу
Приложения:

Вас заинтересует
2 года назад
2 года назад
3 года назад
3 года назад
8 лет назад
9 лет назад