• Предмет: Математика
  • Автор: Ymnyaga006
  • Вопрос задан 8 лет назад

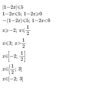
решите неравенство |1-2х|≤5
Дам 10 баллов срочнооо. ​

Ответы

Ответ дал: Аноним
0

Решение смотрите во вложении.

Приложения:
Ответ дал: Ymnyaga006
0
Биг сэнкью
Ответ дал: Аноним
0
Всегда пожалуйста.
Ответ дал: Аноним
0
Думаю, если вам разобраться, то у вас всё получится!
Вас заинтересует