Ответы
Ответ дал:
0
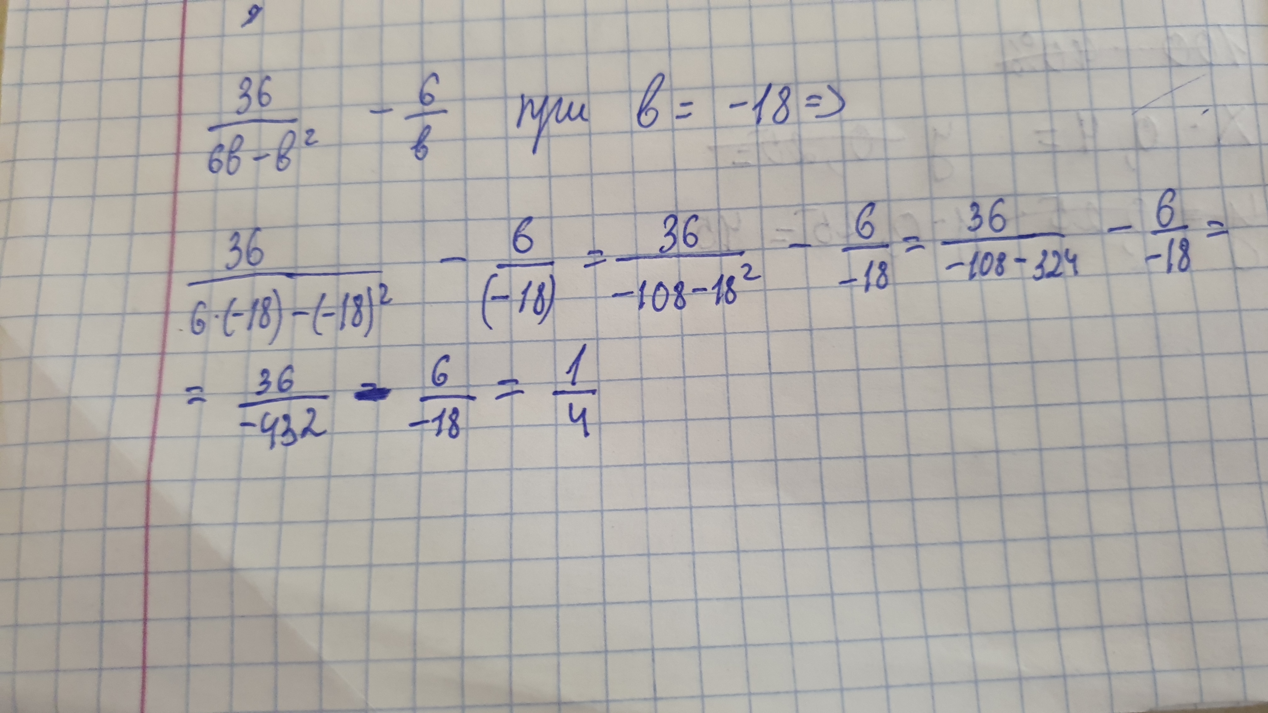
Ответ:
Пошаговое объяснение:
Ответ на фотографии, надеюь помог, удачи
Приложения:

Ответ дал:
0
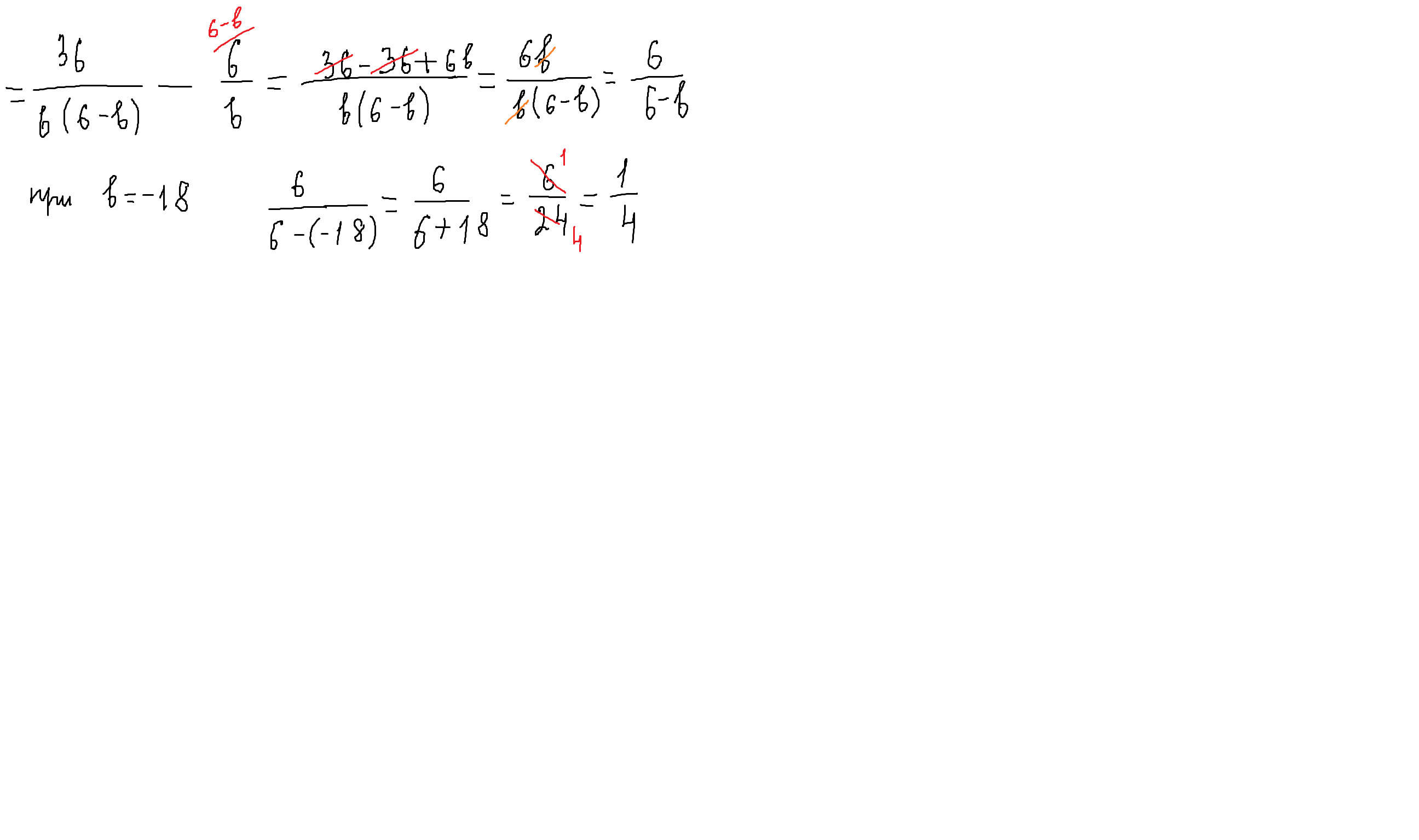
Ответ:
Пошаговое объяснение: сначала надо упростить выражение.
Приложения:

Вас заинтересует
2 года назад
2 года назад
3 года назад
3 года назад
8 лет назад
8 лет назад
9 лет назад
9 лет назад