• Предмет: Математика
  • Автор: 66ygggghhjj
  • Вопрос задан 8 лет назад

помогите пожалуйста ​

Приложения:

Ответы

Ответ дал: Divan4ik
0

Ответ:

Пошаговое объяснение:

Приложения:
Ответ дал: 66ygggghhjj
0
все
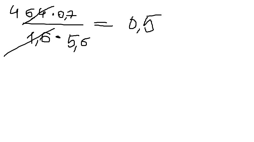
Ответ дал: parus77
0

Ответ:

Пошаговое объяснение:

посмотри решение внизу.Сначала выполним сокращение,а потом умножение и деление.

Приложения:
Вас заинтересует