Ответы
Ответ дал:
0
l2-xl>1/3
[2-x>1/3
[2-x<-1/3
[x<2-1/3
[x>2+1/3
[x<1 2/3
[x>2 1/3
[2-x>1/3
[2-x<-1/3
[x<2-1/3
[x>2+1/3
[x<1 2/3
[x>2 1/3
Ответ дал:
0
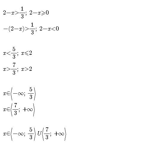
Решение см в приложении.
Приложения:

Вас заинтересует
2 года назад
2 года назад
3 года назад
3 года назад
8 лет назад
9 лет назад