Ответы
Ответ дал:
0
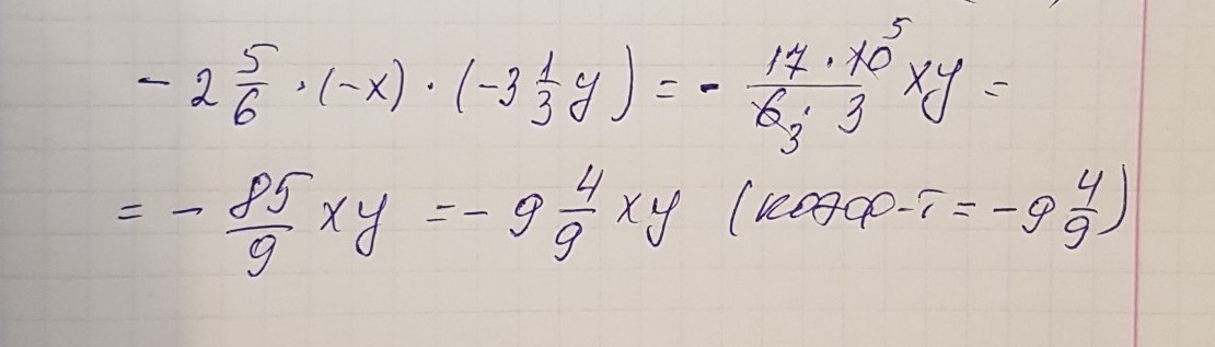
решение задания смотри на фотографии
Приложения:

Ответ дал:
0
спасибо большое
Ответ дал:
0
пожалуйста
Вас заинтересует
2 года назад
2 года назад
3 года назад
3 года назад
8 лет назад