Ответы
Ответ дал:
0
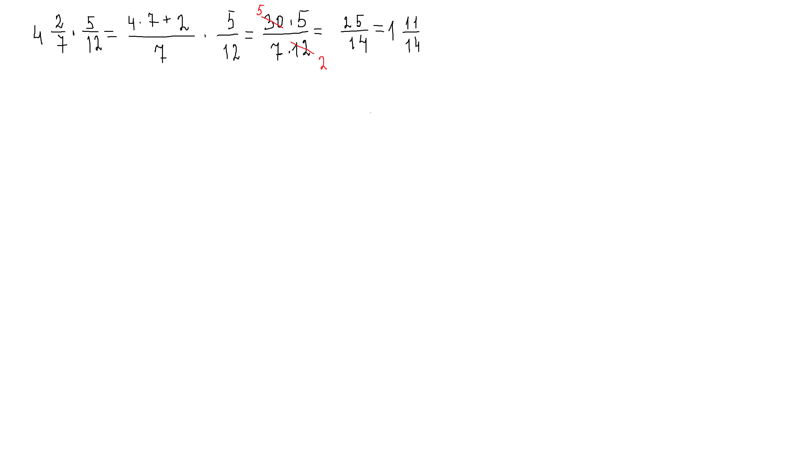
Решение на фото!
_______________________________
удачи))
Понравилось решение?Жми ЛУЧШИЙ!)
_______________________________
удачи))
Понравилось решение?Жми ЛУЧШИЙ!)
Приложения:
Ответ дал:
0
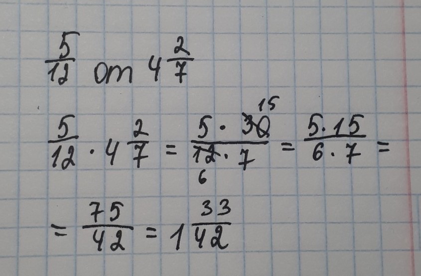
Ответ:
Пошаговое объяснение:
чтобы найти часть от числа нужно это число умножить на часть.
решение внизу
Приложения:
Вас заинтересует
3 года назад
3 года назад
9 лет назад
9 лет назад
10 лет назад