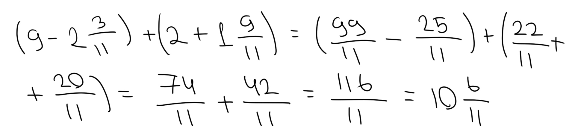
( 9 целых - 2 целых 311 ) + ( 2целых + 1целая 911 ) = ? ( сколько? ) помогите решить П.ж!!!!
Приложения:

Ответы
Ответ дал:
0
Ответ на картинке, удачи <3
Приложения:

Вас заинтересует
2 года назад
2 года назад
3 года назад
8 лет назад
9 лет назад