Ответы
Ответ дал:
0
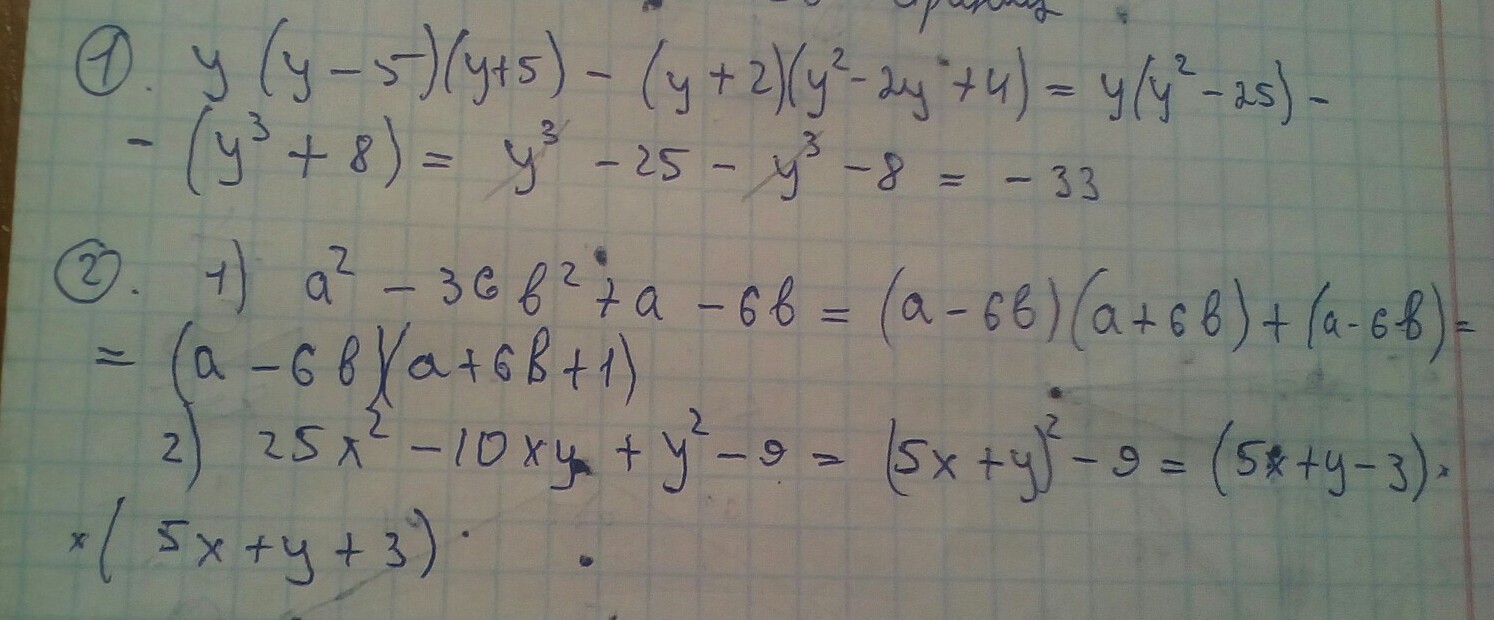
Решение и ответы на фото
Приложения:

Ответ дал:
0
спасибо огромное
Вас заинтересует
2 года назад
3 года назад
3 года назад
8 лет назад
9 лет назад