• Предмет: Математика
  • Автор: kseniasoloveva05
  • Вопрос задан 8 лет назад

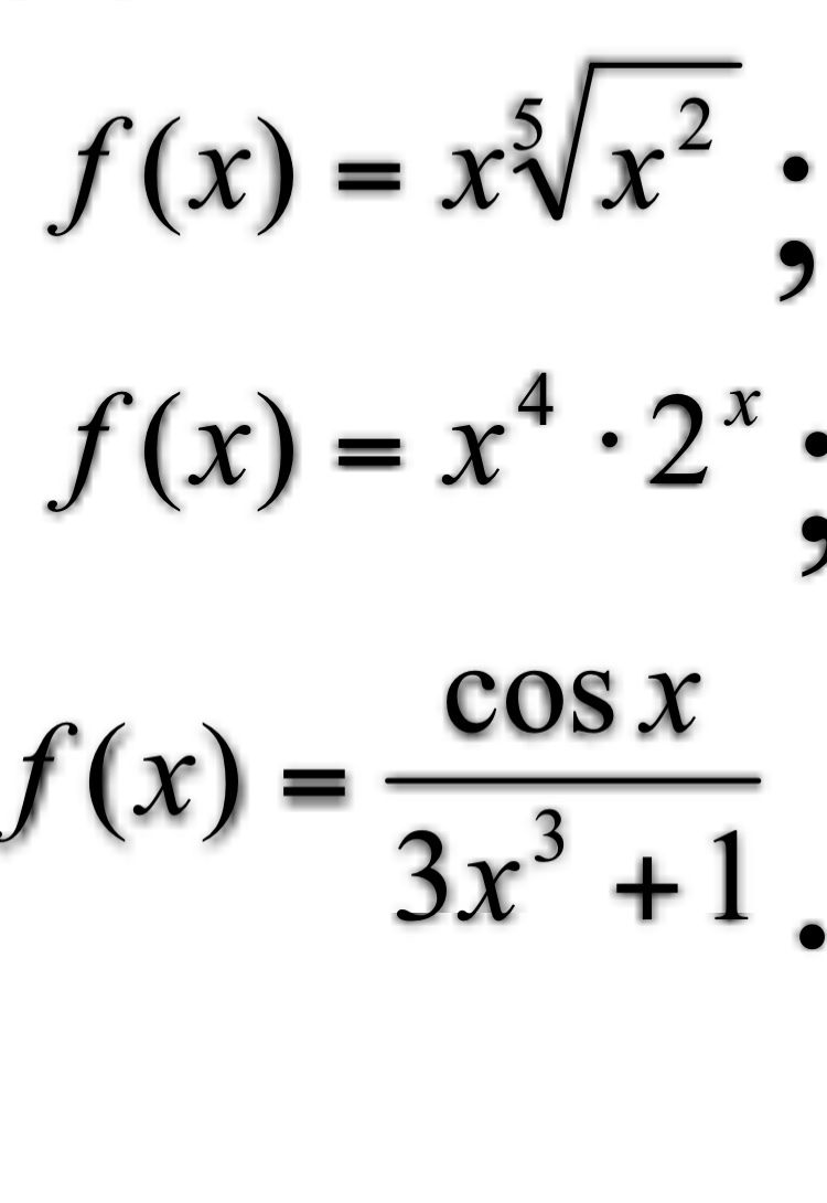
вычислите производные функций.

Приложения:

Ответы

Ответ дал: diana2007alla
0

вычисление трех производных

Приложения:
Вас заинтересует