Ответы
Ответ дал:
0
Подробное решение на фото
Приложения:

Ответ дал:
0
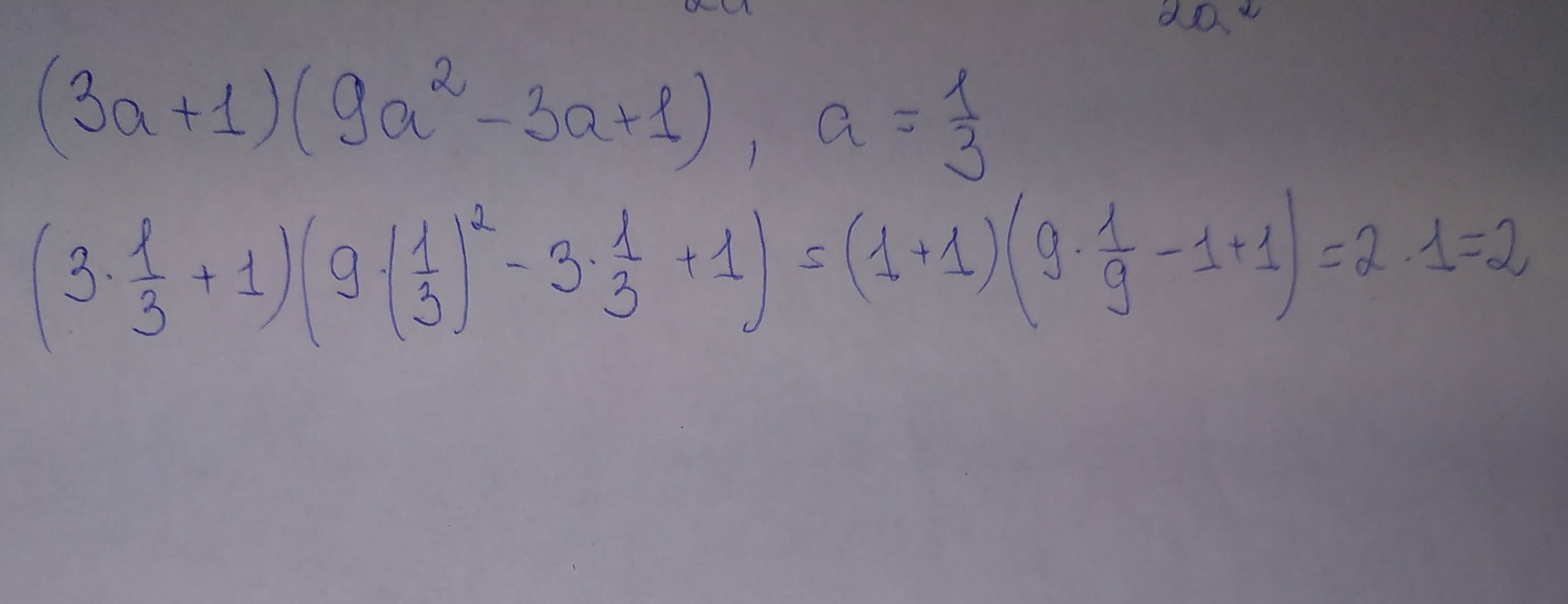
Для начала упростим данное выражение с помощью формулы:
И получим:
Раскроем скобки, возведем в степень что можем:
Больше упростить невозможно. Подставим 1/3 в данное выражение:
_________________________
Ответ: 2
Приложения:

Вас заинтересует
2 года назад
3 года назад
3 года назад
8 лет назад
8 лет назад