Алгебра! Пожалуйста, помогите!
Спростіть вираз і знайдіть його значення:
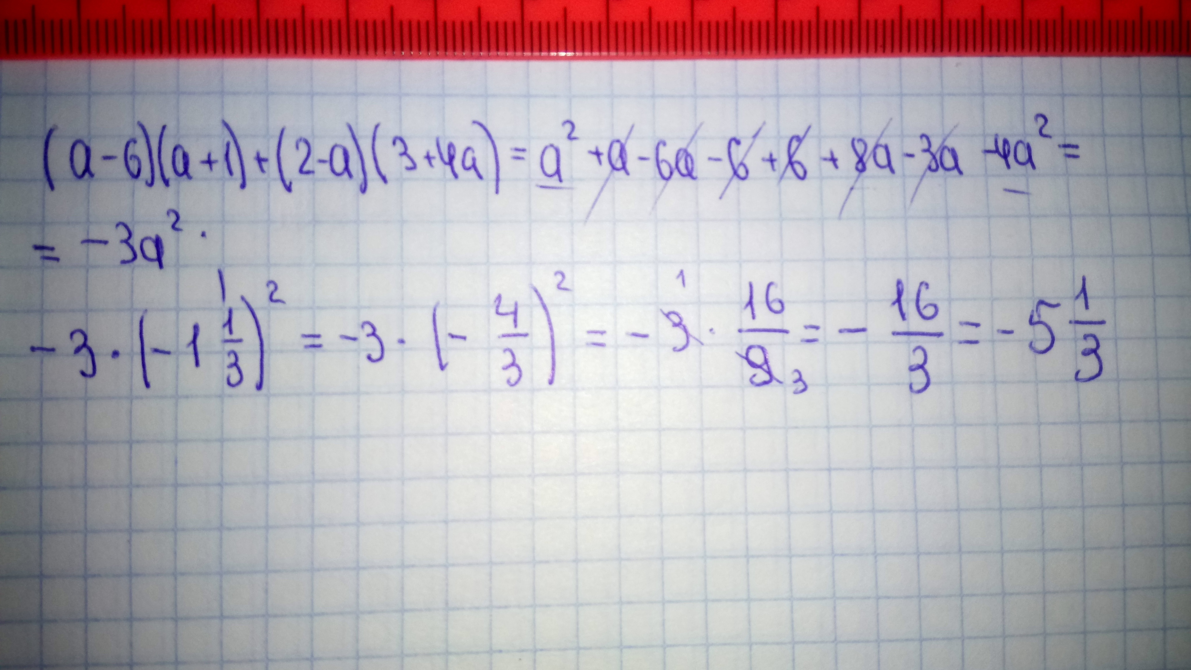
(a-6)(a+1)+(2-a)(3+4a), якщо а=-1

Заранее спасибо огромное!))
Ответы
Ответ дал:
0
(а^2+а-6а-6)+(6+8а-3а-4а^2)=а^2+а-6а-6+6+8а-3а-4а^2=-3а
-3*-1=3 (это а=-1)
-3*-1 1/3= -3*- 4/3= 4(это в случае если а=-1 1/3
Ответ дал:
0
При подстановке вы не учли, что а во второй степени
Ответ дал:
0
дадая
Ответ дал:
0
Розв'язання завдання додаю
Приложения:

Ответ дал:
0
Огрооомное спасибо!)
Вас заинтересует
2 года назад
2 года назад
3 года назад
8 лет назад
8 лет назад