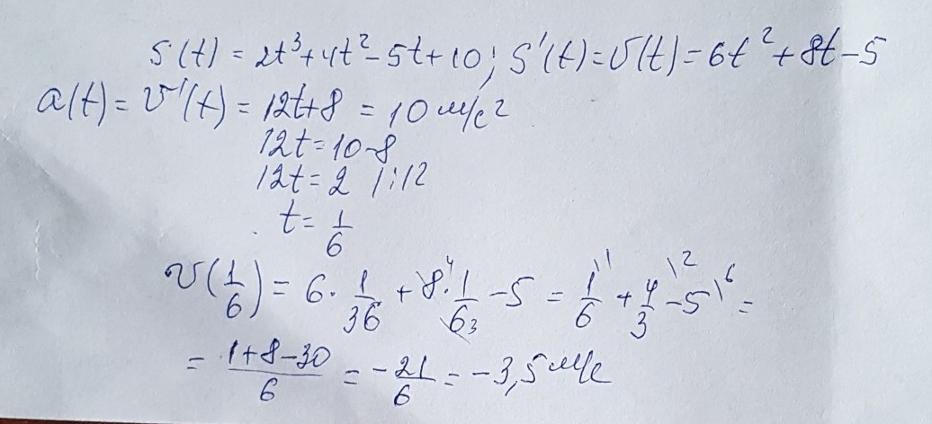
Тело движется по прямой по закону:S(t)=2t^3+4t^2-5t+10. Какую скорость приобретают тело в момент когда его ускорение станет равным 10м/с^2
Ответы
Ответ дал:
0
решение задания смотри на фотографии
Приложения:

Вас заинтересует
2 года назад
2 года назад
3 года назад
3 года назад
8 лет назад
8 лет назад
9 лет назад
9 лет назад