• Предмет: Алгебра
  • Автор: NagisaandKarma
  • Вопрос задан 8 лет назад

Помогите решить неравенство!!!
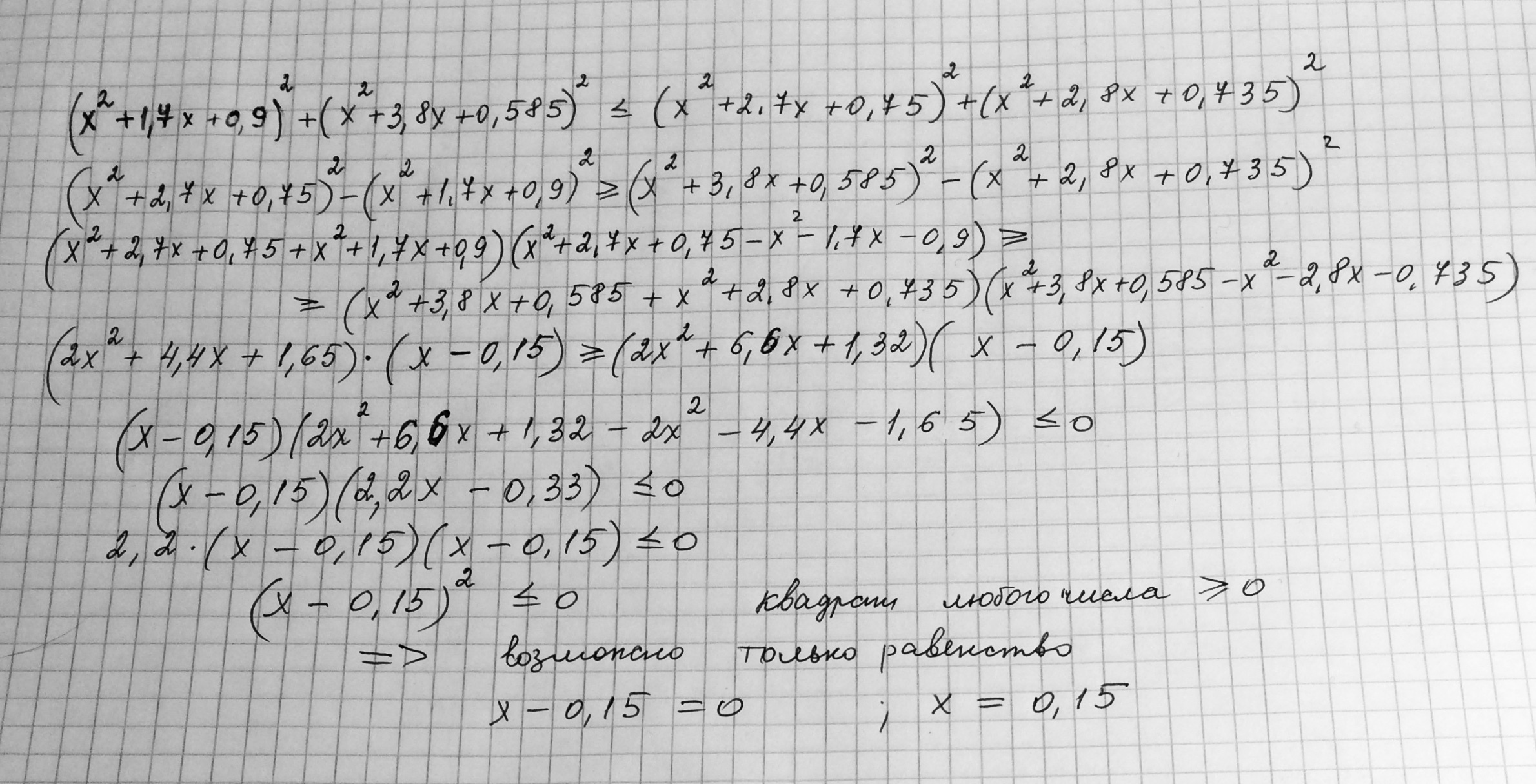
(x^2+1.7x+0.9)^2+(x^2+3.8x+0.585)^2≤(x^2+2.7x+0.75)^2+(x^2+2.8x+0.735)^2

Ответы

Ответ дал: maksimcat
0

Ответ на фото////////////////////

Приложения:
Вас заинтересует