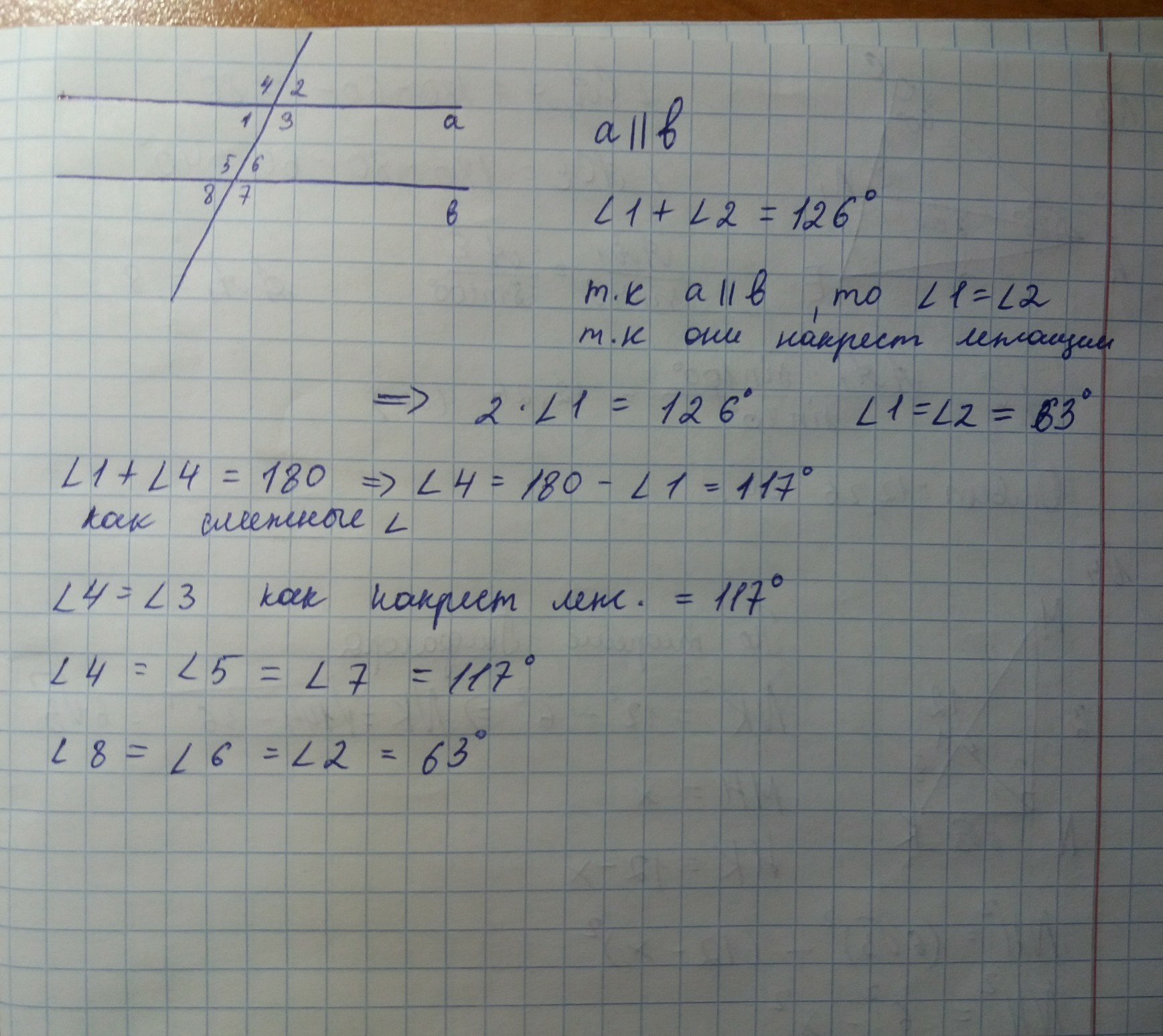
Сумма накрест лежащих углов при пересечении 2х параллельных прямых снкущей равна 126 градусов . Найти все 8 углов ( сделать чертеж)
Помогите пожалуйста.
Заранее спасибо большое.
Ответы
Ответ дал:
0
смотри решение на фото
Приложения:

Вас заинтересует
2 года назад
2 года назад
3 года назад
3 года назад
8 лет назад
8 лет назад
9 лет назад