• Предмет: Алгебра
  • Автор: classic74
  • Вопрос задан 8 лет назад

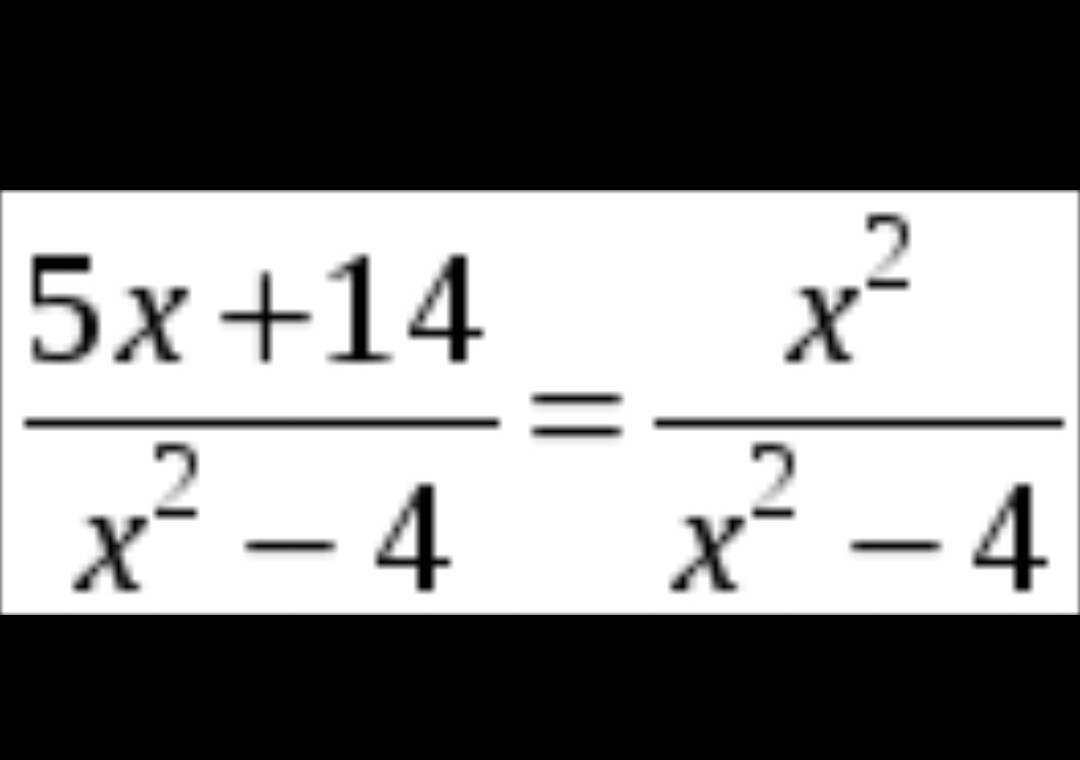
22 балла! Сделайте пожалуйста! Очень надо! Уравненения на фото! ​

Приложения:

Ответы

Ответ дал: Banabanana
0

displaystylett frac{5x+14}{x^2-4}= frac{x^2}{x^2-4} \\\ frac{x^2}{x^2-4}-frac{5x+14}{x^2-4}=0\\\ frac{x^2-(5x+14)}{x^2-4}=0\\\ frac{x^2-5x-14}{(x-2)(x+2)}=0\\ xneq -2;    xneq 2\\ x^2-5x-14=0\\D=25+56=81=9^2\\ x_1=frac{5-9}{2}=-2    O \\ x_2=frac{5+9}{2}=7

Ответ: х = 7

Ответ дал: classic74
0
спасибо большое!
Ответ дал: Banabanana
0
Пожалуйста)
Вас заинтересует