Ответы
Ответ дал:
0
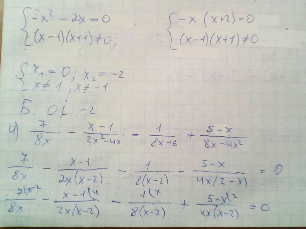
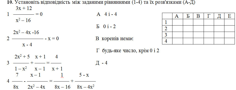
Ответы и решения на фото
Приложения:



Вас заинтересует
2 года назад
2 года назад
3 года назад
3 года назад
8 лет назад
9 лет назад