Дам очень много баллов тому , кто решит правильно , физики , решите пожалуйста , я в безвыходном положении . Очень прошу ! Физика 9 ,класс.
Приложения:

Ответы
Ответ дал:
0
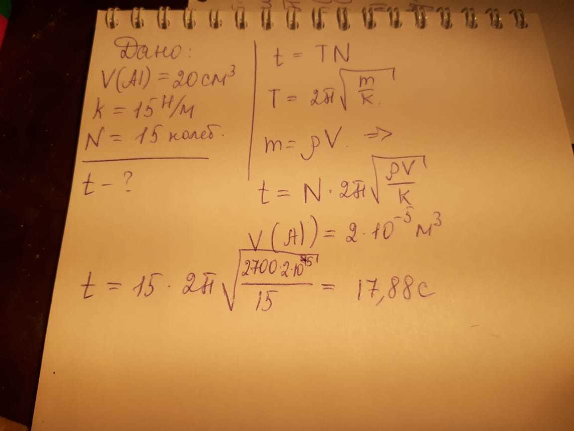
V(Al) = 20 cм3 = 2*10^-5 м3 ( перевод в систему СИ)
Приложения:

Вас заинтересует
2 года назад
3 года назад
3 года назад
8 лет назад
8 лет назад
9 лет назад