• Предмет: Математика
  • Автор: lexlexlex123
  • Вопрос задан 8 лет назад

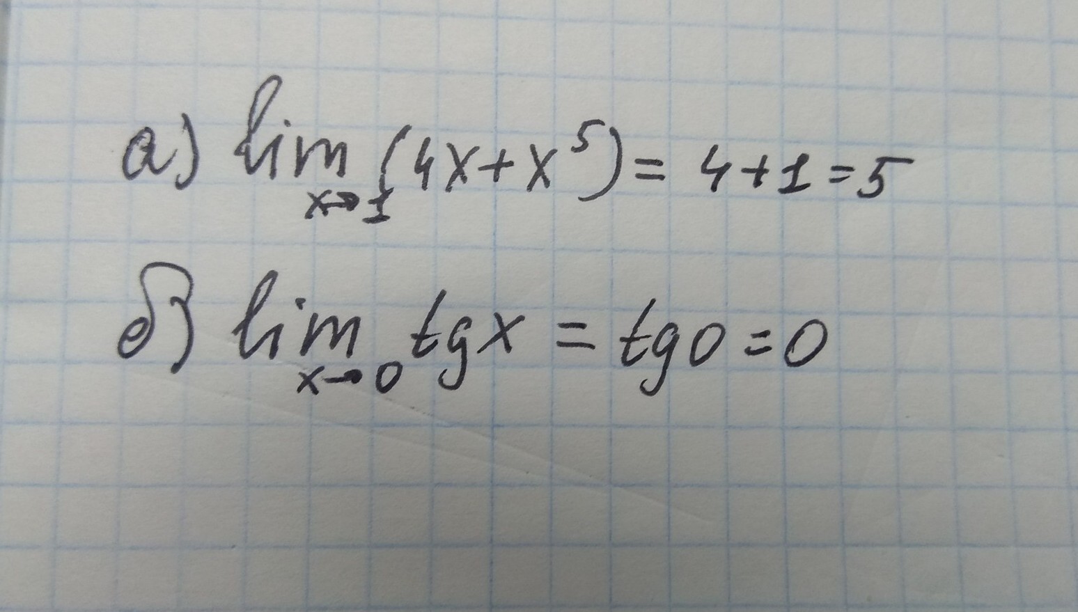
Найдите пределы функций

Приложения:

Ответы

Ответ дал: edunorog70
0

ответ на фото ✌️✌️✌️✌️✌️✌️✌️✌️✌️✌️✌️✌️✌️✌️

Приложения:
Ответ дал: natalyabryukhova
0

Ответ:

Пошаговое объяснение:

Приложения:
Вас заинтересует